电脑桌面
添加小米粒文库到电脑桌面
安装后可以在桌面快捷访问

版高考数学一轮复习 易错考点排查练 三角与向量 文(含解析)北师大版-北师大版高三全册数学试题VIP免费

版高考数学一轮复习 易错考点排查练 三角与向量 文(含解析)北师大版-北师大版高三全册数学试题_第1页
1/9
版高考数学一轮复习 易错考点排查练 三角与向量 文(含解析)北师大版-北师大版高三全册数学试题_第2页
2/9
版高考数学一轮复习 易错考点排查练 三角与向量 文(含解析)北师大版-北师大版高三全册数学试题_第3页
3/9
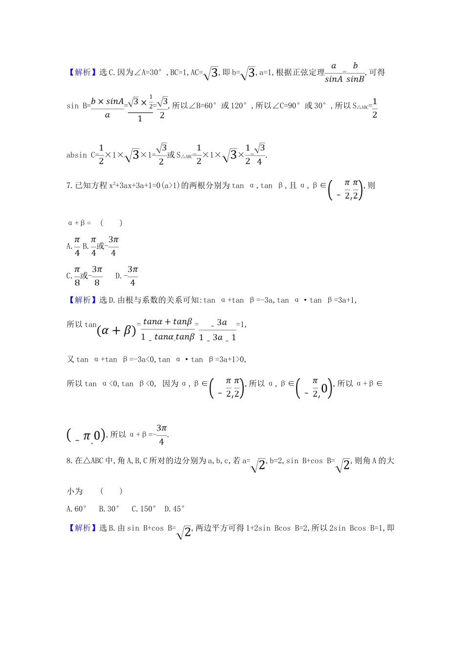
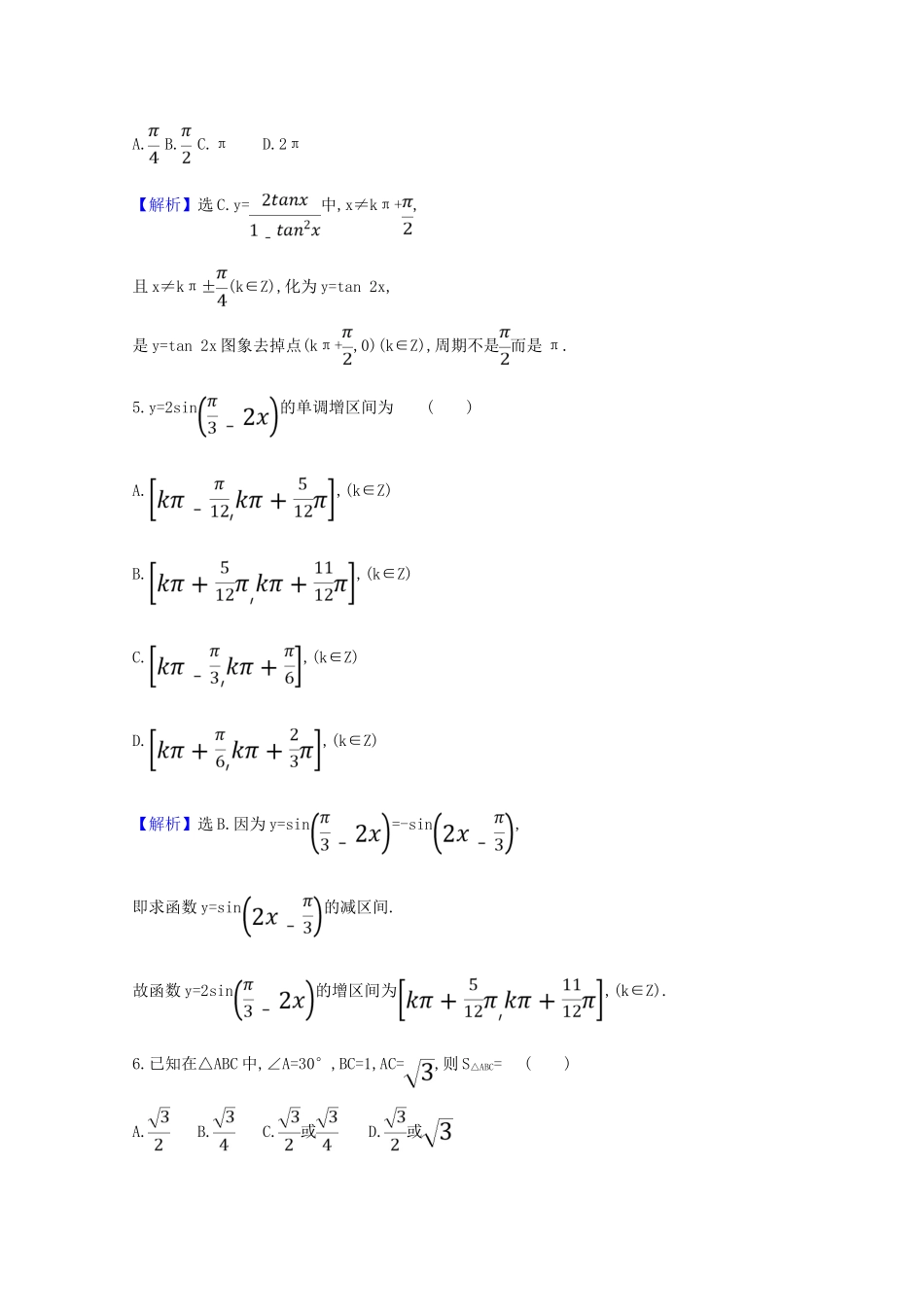
易错考点排查练三角与向量1.已知A(3,7),B(5,2),向量按a=(1,2)平移后所得向量是()A.(2,-5)B.(3,-3)C.(1,-7)D.以上都不是【解析】选A.=(5-3,2-7)=(2,-5),由向量平移不变性.故选A.2.如果a·b=a·c,且a≠0,那么()A.b=cB.b=λcC.b⊥cD.b,c在a方向上的投影相等【解析】选D.a·b=a·c,说明b,c在a方向上的投影相等.3.为了得到y=-2cos2x的图象,只需把函数y=sin2x-cos2x的图象()A.向左平移个单位长度B.向右平移个单位长度C.向左平移个单位长度D.向右平移个单位长度【解析】选D.因为y=sin2x-cos2x=-2cos=-2cos,要得到函数y=-2cos2x,只需将y=sin2x-cos2x的图象向右平移个单位长度即可.4.函数y=的最小正周期为()A.B.C.πD.2π【解析】选C.y=中,x≠kπ+,且x≠kπ±(k∈Z),化为y=tan2x,是y=tan2x图象去掉点(kπ+,0)(k∈Z),周期不是而是π.5.y=2sin的单调增区间为()A.,(k∈Z)B.,(k∈Z)C.,(k∈Z)D.,(k∈Z)【解析】选B.因为y=sin=-sin,即求函数y=sin的减区间.故函数y=2sin的增区间为,(k∈Z).6.已知在△ABC中,∠A=30°,BC=1,AC=,则S△ABC=()A.B.C.或D.或【解析】选C.因为∠A=30°,BC=1,AC=,即b=,a=1,根据正弦定理=,可得sinB===,所以∠B=60°或120°,所以∠C=90°或30°,所以S△ABC=absinC=×1××1=或S△ABC=×1××=.7.已知方程x2+3ax+3a+1=0(a>1)的两根分别为tanα,tanβ,且α,β∈,则α+β=()A.B.或-C.或-D.-【解析】选D.由根与系数的关系可知:tanα+tanβ=-3a,tanα·tanβ=3a+1,所以tan===1,又tanα+tanβ=-3a<0,tanα·tanβ=3a+1>0,所以tanα<0,tanβ<0,因为α,β∈,所以α,β∈,所以α+β∈,所以α+β=-.8.在△ABC中,角A,B,C所对的边分别为a,b,c,若a=,b=2,sinB+cosB=,则角A的大小为()A.60°B.30°C.150°D.45°【解析】选B.由sinB+cosB=,两边平方可得1+2sinBcosB=2,所以2sinBcosB=1,即sin2B=1,因为0°,又由a,b共线且反向,可得x=-,所以x的范围是∪∪.答案:∪∪14.已知k∈Z,=(k,1),=(2,4),若≤,则△ABC是直角三角形的概率是.【解析】≤及k∈Z知k∈{-3,-2,-1,0,1,2,3},若=(k,1)与=(2,4)垂直,则2k+4=0⇒k=-2;若=-=(2-k,3)与=(k,1)垂直,则k2-2k-3=0⇒k=-1或3,若=(2,4)与=(2-k,3)垂直,则2(2-k)+4×3=0,解得k=8,不符合题意.所以△ABC是直角三角形的概率是.答案:15.在△ABC中,3sinA+4cosB=6,4sinB+3cosA=1,则∠C的大小为.世纪金榜导学号【解析】在△ABC中,3sinA+4cosB=6,且4sinB+3cosA=1,两式平方相加可得9+16+24sin(A+B)=37,所以sin(A+B)=sinC=,...

1、当您付费下载文档后,您只拥有了使用权限,并不意味着购买了版权,文档只能用于自身使用,不得用于其他商业用途(如 [转卖]进行直接盈利或[编辑后售卖]进行间接盈利)。
2、本站所有内容均由合作方或网友上传,本站不对文档的完整性、权威性及其观点立场正确性做任何保证或承诺!文档内容仅供研究参考,付费前请自行鉴别。
3、如文档内容存在违规,或者侵犯商业秘密、侵犯著作权等,请点击“违规举报”。

碎片内容

版高考数学一轮复习 易错考点排查练 三角与向量 文(含解析)北师大版-北师大版高三全册数学试题

您可能关注的文档

慧源书店+ 关注
实名认证
内容提供者

从事历史教学,热爱教育,高度负责。

确认删除?
VIP
微信客服
  • 扫码咨询
会员Q群
  • 会员专属群点击这里加入QQ群
客服邮箱
回到顶部