电脑桌面
添加小米粒文库到电脑桌面
安装后可以在桌面快捷访问

高中数学 第3章 三角恒等变换 3.3 几个三角恒等式课堂精练 苏教版必修4-苏教版高一必修4数学试题VIP免费

高中数学 第3章 三角恒等变换 3.3 几个三角恒等式课堂精练 苏教版必修4-苏教版高一必修4数学试题_第1页
1/4
高中数学 第3章 三角恒等变换 3.3 几个三角恒等式课堂精练 苏教版必修4-苏教版高一必修4数学试题_第2页
2/4
高中数学 第3章 三角恒等变换 3.3 几个三角恒等式课堂精练 苏教版必修4-苏教版高一必修4数学试题_第3页
3/4
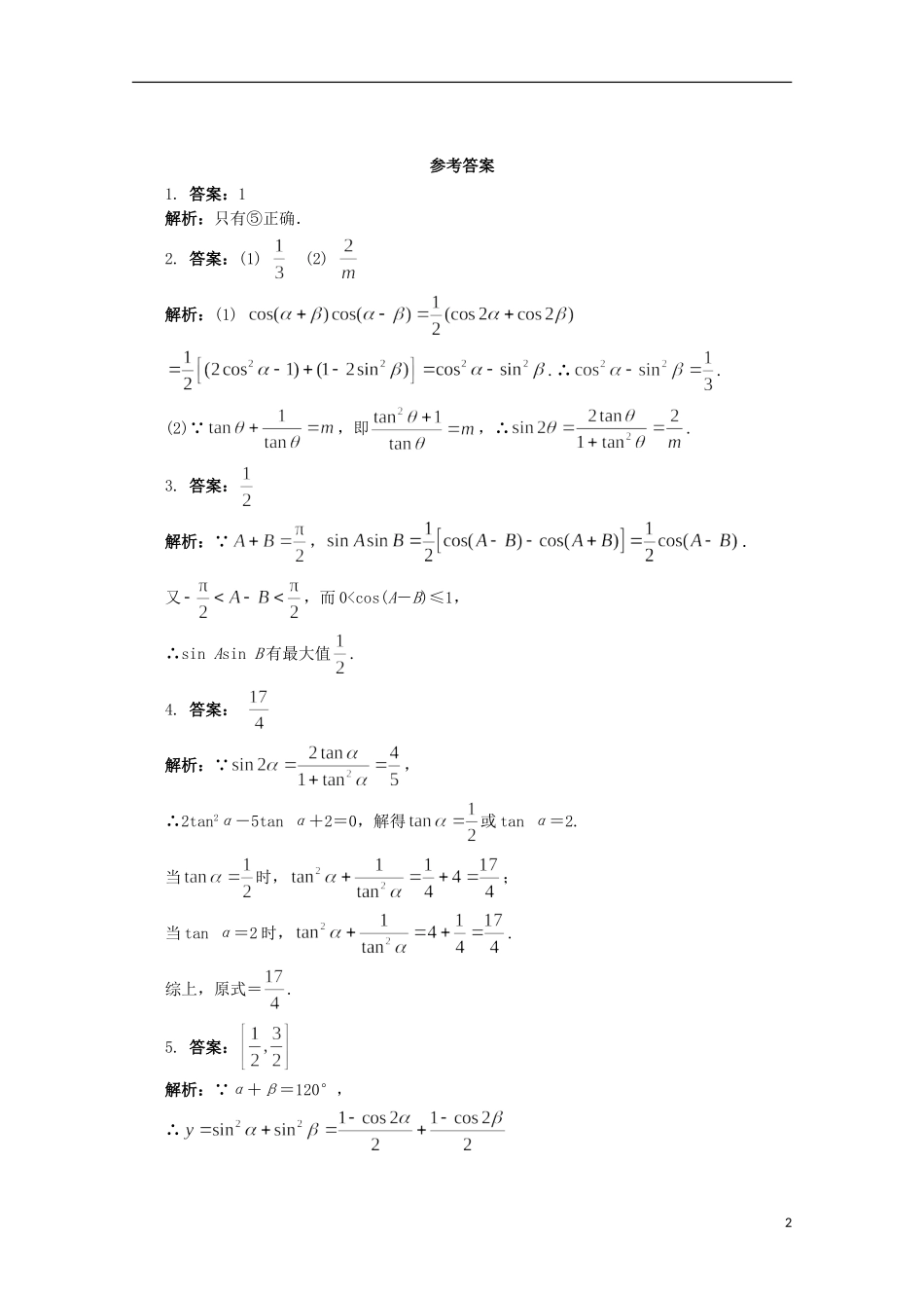
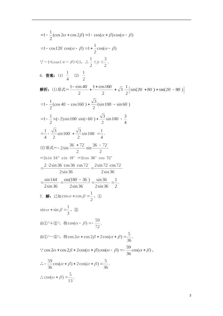
江苏省盱眙县都梁中学高中数学第3章三角恒等变换3.3几个三角恒等式课堂精练苏教版必修41.有下列关系式:①sin5θ+sin3θ=2sin8θcos2θ;②cos3θ-cos5θ=-2sin4θsinθ;③sin3θ-sin5θ=-cos4θcosθ;④sin5θ+cos3θ=2sin4θcosθ;⑤sinxsiny=.其中正确等式的个数是________.2.(1)若,则cos2α-sin2β=__________.(2)若,则sin2θ=__________.3.直角三角形中两锐角为A和B,则sinAsinB的最大值为__________.4.已知,则的值为__________.5.若α+β=120°,则y=sin2α+sin2β的取值范围是__________.6.(1)=__________.(2)cos36°-cos72°的值为__________.7.已知,,求cos(α+β),tan(α+β)的值.1参考答案1.答案:1解析:只有⑤正确.2.答案:(1)(2)解析:(1).∴.(2)∵,即,∴.3.答案:解析:∵,.又,而0

1、当您付费下载文档后,您只拥有了使用权限,并不意味着购买了版权,文档只能用于自身使用,不得用于其他商业用途(如 [转卖]进行直接盈利或[编辑后售卖]进行间接盈利)。
2、本站所有内容均由合作方或网友上传,本站不对文档的完整性、权威性及其观点立场正确性做任何保证或承诺!文档内容仅供研究参考,付费前请自行鉴别。
3、如文档内容存在违规,或者侵犯商业秘密、侵犯著作权等,请点击“违规举报”。

碎片内容

高中数学 第3章 三角恒等变换 3.3 几个三角恒等式课堂精练 苏教版必修4-苏教版高一必修4数学试题

您可能关注的文档

海博书城+ 关注
实名认证
内容提供者

从事历史教学,热爱教育,高度负责。

确认删除?
微信客服
  • 扫码咨询
会员Q群
  • 会员专属群点击这里加入QQ群