电脑桌面
添加小米粒文库到电脑桌面
安装后可以在桌面快捷访问

高一数学数列求和人教实验A版知识精讲VIP免费

高一数学数列求和人教实验A版知识精讲_第1页
1/7
高一数学数列求和人教实验A版知识精讲_第2页
2/7
高一数学数列求和人教实验A版知识精讲_第3页
3/7
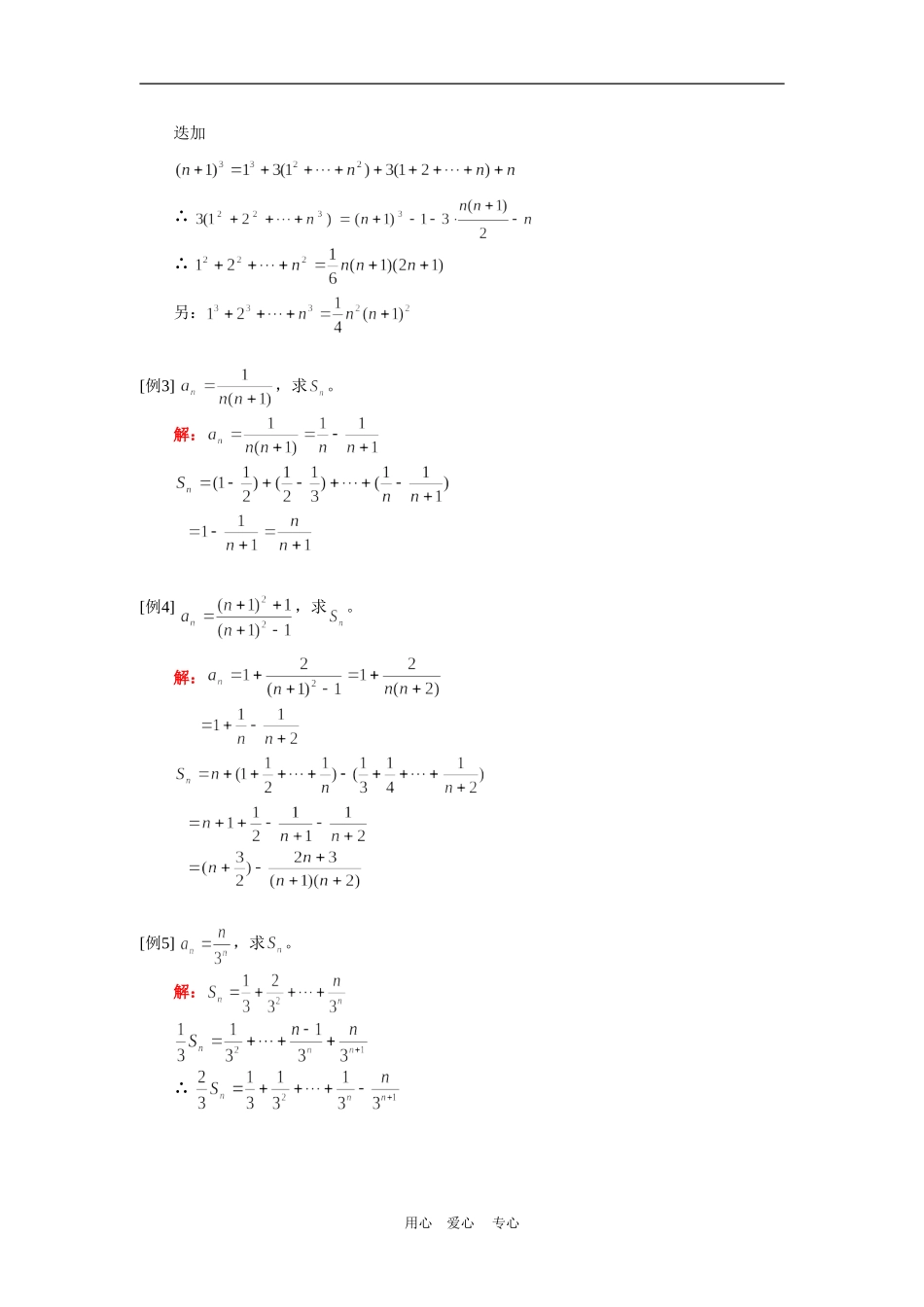
高一数学数列求和人教实验A版【本讲教育信息】一.教学内容:数列求和二.重点、难点:1.公式法2.裂项相加3.裂项相消4.错位相减【典型例题】[例1]解:(1),或1,(2),∴[例2],求。解:迭加,证:用心爱心专心迭加∴∴另:[例3],求。解:[例4],求。解:[例5],求。解:∴用心爱心专心[例6]若数列的通项公式为,求它的前n项和。解:当时,∴当时,∴当时,∴当且时,∵∴[例7]设正数数列的前n项和满足。(1)求证::(2)设,记数列的前n项和为,求。解:(1)∵①∴②①-②得整理得∵∴用心爱心专心∴,即∴是等差数列又,∴(2)∵∴[例8]求和:解:为等比数列,公比当时,当时,[例9]数列的前n项和,则等于()A.B.C.D.解:由得,则[例10]某渔业公司今年初用98万元购进一艘鱼船用于捕捞,第一年需要各种费用12万元,从第二年起包括维修费在内每年所需费用比上一年增加4万元,该船每年捕捞总收入50万元。问捕捞几年后总盈利最大,最大是多少?解:设船捕捞n年后的总盈利为y万元,则用心爱心专心所以,当捕捞10年后总盈利最大,最大是102万元。[例11]一座大楼共n层,现每层指定一人步行到设在第k层的会议室开会(设每层楼梯长都相等)。问:如何确定会议室所在的楼层k,才能使n个与会人员上或下所走的楼梯总长最短?解:设相邻两层之间的楼梯长为,则第1层、第2层、…、第k-1层的人所走的楼梯长依次为:;从第k+1层、…、第n层的人所走的楼梯长依次为。所以,所有与会者走的楼梯总长为∵k为整数∴当n为奇数时,k取,即会议室应设在第层;当n为偶数时,k取或,即会议室应设在第或层。【模拟试题】(答题时间:45分钟)1.已知数列的前n项和为。若数列是等比数列,则应满足的条件为()A.B.C.D.2.在正项等比数列中,若,则的值为()A.28B.32C.35D.493.等比数列的各项均为正数,且,则()A.12B.10C.8D.4.等比数列的前n项,前2n项,前3n项的和分别为A,B,C,则()A.A+B=CB.C.D.5.在等差数列中,已知,,则等于()A.B.C.D.6.等差数列的前n项和为,当变化时,若是一个定值,那么下列各数中也为定值的是()用心爱心专心A.B.C.D.7.在等差数列中,是方程的两个根,则是()A.15B.30C.50D.8.在等差数列中,,,则此数列前30项和等于()A.810B.840C.870D.9009.已知数列,…它的前n项的积小于,则正整数n的最大值是()A.13B.14C.15D.1610.已知数列中,则等于。11.如图,,直角三角形的直角边,记,则。12.正奇数集合{1,3,5,…},现在由小到大按第n组有个奇数进行分组:{1}{3,5,7}{9,11,13,15,17},…(第一组)(第二组)(第三组)则2005位于第组中。13.在等差数列中,若,,求。14.某地区荒山2200亩,从2005年开始每年春季在荒山植树造林,第一年植树100亩,以后每一年比上一年多植树50亩。(1)若所植树全部都成活,则到哪一年可将荒山全部绿化?(2)若每亩所植树苗木材量为2立方米,每年树木木材量的自然增长率为20%,那么全部绿化后的那一年年底,求该山木材总量。(精确到1立方米,参考数据:,)用心爱心专心【试题答案】1.C2.A3.B4.D5.B6.A7.A8.B9.A10.76511.12.解:正奇数,第m组最末数在正奇数中的序号数,所以最末数为解得所以2005位于第32组13.解:∵,,……,∴∴14.解:(1)由题意可知,各年植树亩数为100,150,200,……构成等差数列设植树n年可将荒山全部绿化,则,解得或(舍去)所以,到2012年可将荒山全部绿化(2)2005年所植树,春季木材量为,到2012年底木材量则增为2006年所植树到2012年底木材量为。……2012年所植树到年底木材量为,则到2012年底木材总量为上式乘以1.2,得两式相减,得所以,全部绿化后的那一年年底,该山木材总量为S=9060立方米用心爱心专心

1、当您付费下载文档后,您只拥有了使用权限,并不意味着购买了版权,文档只能用于自身使用,不得用于其他商业用途(如 [转卖]进行直接盈利或[编辑后售卖]进行间接盈利)。
2、本站所有内容均由合作方或网友上传,本站不对文档的完整性、权威性及其观点立场正确性做任何保证或承诺!文档内容仅供研究参考,付费前请自行鉴别。
3、如文档内容存在违规,或者侵犯商业秘密、侵犯著作权等,请点击“违规举报”。

碎片内容

高一数学数列求和人教实验A版知识精讲

您可能关注的文档

海博书城+ 关注
实名认证
内容提供者

从事历史教学,热爱教育,高度负责。

确认删除?
VIP
微信客服
  • 扫码咨询
会员Q群
  • 会员专属群点击这里加入QQ群
客服邮箱
回到顶部