电脑桌面
添加小米粒文库到电脑桌面
安装后可以在桌面快捷访问

高一数学两角和与差的正弦、余弦人教版知识精讲VIP免费

高一数学两角和与差的正弦、余弦人教版知识精讲_第1页
1/5
高一数学两角和与差的正弦、余弦人教版知识精讲_第2页
2/5
高一数学两角和与差的正弦、余弦人教版知识精讲_第3页
3/5
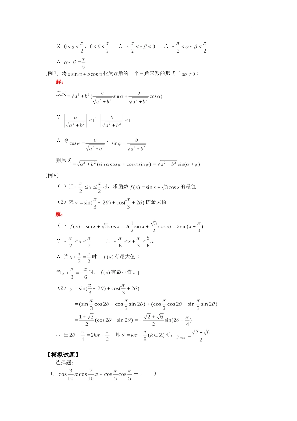
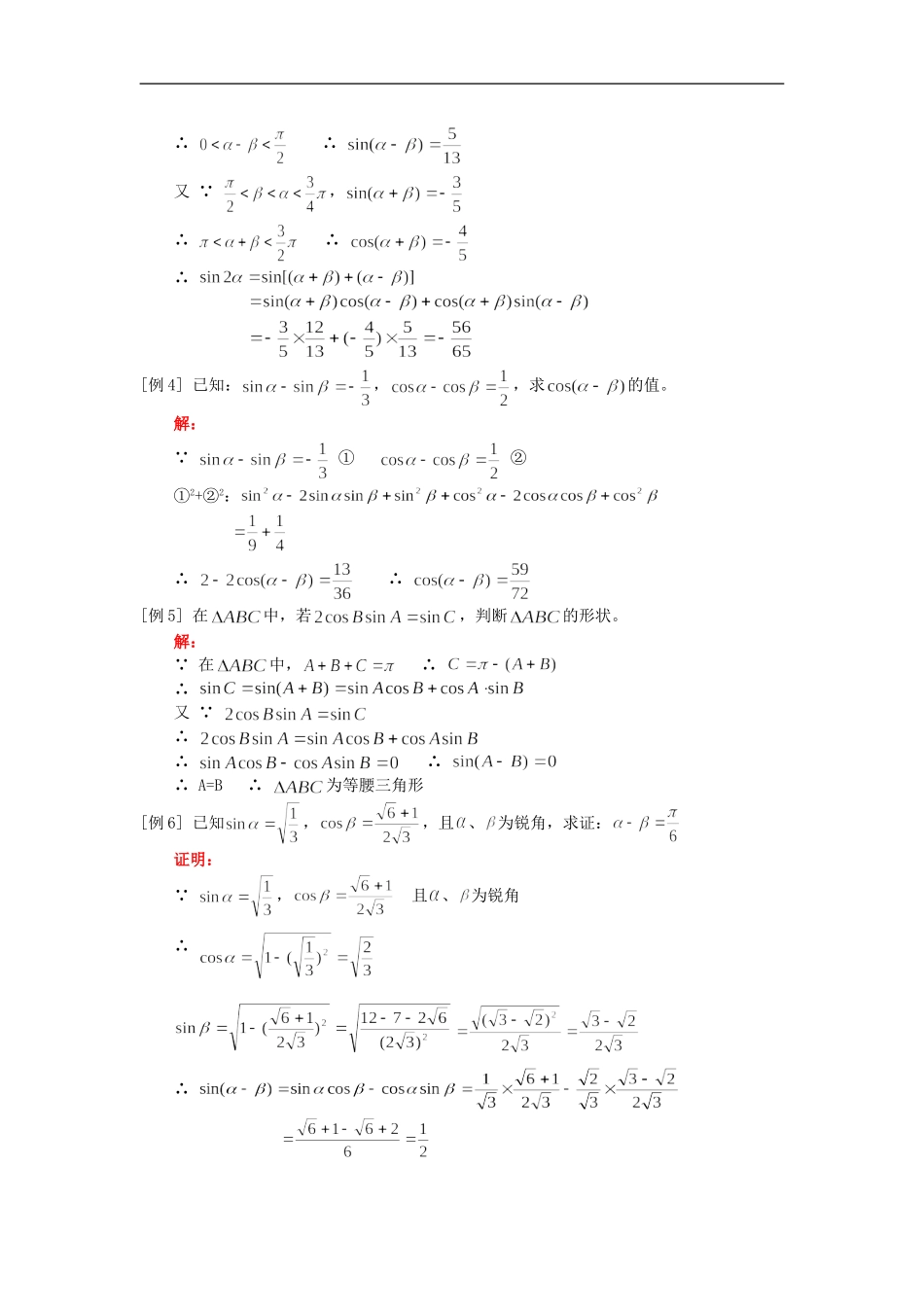
高一数学两角和与差的正弦、余弦人教版【本讲教育信息】一.教学内容:两角和与差的正弦、余弦二.本周教学重难点:1.重点:正弦、余弦的和、差公式2.难点:余弦的和角公式的推导【典型例题】[例1]求的值。解:原式[例2]已知锐角、满足,(1)求(2)求解:∵、为锐角,,∴,(1)(2)∵,∴又∵∴∴[例3]已知,,,求的值。解:∵,∴∴又∵,∴∴∴[例4]已知:,,求的值。解:∵①②①2+②2:∴∴[例5]在中,若,判断的形状。解:∵在中,∴∴又∵∴∴∴∴A=B∴为等腰三角形[例6]已知,,且、为锐角,求证:证明:∵,且、为锐角∴∴又,∴∴∴[例7]将化为角的一个三角函数的形式()解:原式∵,∴令,则原式[例8](1)当时,求函数的最值(2)求的最大值解:(1)∵∴∴当时,有最大值2当时,有最小值(2)∴当即时,【模拟试题】一.选择题:1.()A.1B.C.0D.2.已知,又,则等于()A.B.0或C.D.3.的值为()A.B.C.D.4.在,若,,则()A.B.C.D.二.填空题:1.已知,,则。2.已知A、B均为钝角,,,则A+B=。3.已知,,,,则。4.已知,,则。三.解答题:1.求值:2.已知是第二象限角,,是第四象限的角,,求的值。3.已知:,求证:试题答案一.1.B2.C3.A4.A二.1.2.3.4.三.1.解:2.解:∵是第二象限角,∴又∵是第四象限角,∴∴3.证明:∵∴,即∴即原式成立

1、当您付费下载文档后,您只拥有了使用权限,并不意味着购买了版权,文档只能用于自身使用,不得用于其他商业用途(如 [转卖]进行直接盈利或[编辑后售卖]进行间接盈利)。
2、本站所有内容均由合作方或网友上传,本站不对文档的完整性、权威性及其观点立场正确性做任何保证或承诺!文档内容仅供研究参考,付费前请自行鉴别。
3、如文档内容存在违规,或者侵犯商业秘密、侵犯著作权等,请点击“违规举报”。

碎片内容

高一数学两角和与差的正弦、余弦人教版知识精讲

您可能关注的文档

海博书城+ 关注
实名认证
内容提供者

从事历史教学,热爱教育,高度负责。

相关文档

确认删除?
VIP
微信客服
  • 扫码咨询
会员Q群
  • 会员专属群点击这里加入QQ群
客服邮箱
回到顶部