电脑桌面
添加小米粒文库到电脑桌面
安装后可以在桌面快捷访问

复数四则运算VIP免费

复数四则运算_第1页
1/8
复数四则运算_第2页
2/8
复数四则运算_第3页
3/8
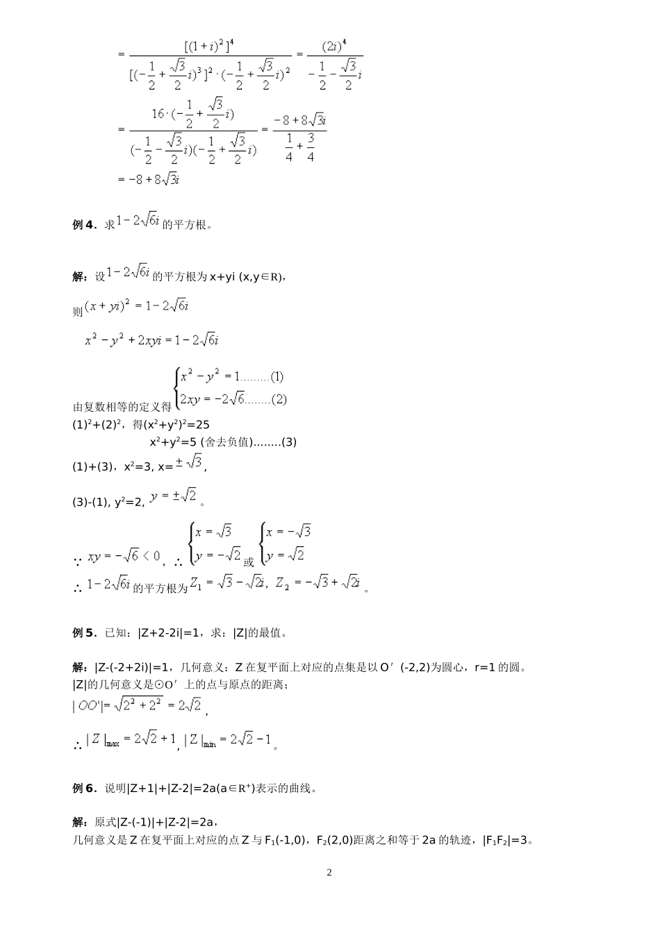
复数的四则混合运算[本周教学内容]:复数[重点]:复数的概念、复数的运算、复数的一些应用三部分。复数的概念:复数的代数形式,复数的模,辐角,共轭复数,规定了复数的加,减,乘,除运算,利用复数的相等求平方根,一元二次方程求根,复数的几何意义:点,向量与解析几何的联系。[难点]:一元二次方程根的讨论。[例题讲解]:例1.m为何实数时,复数Z=(2+i)m2-3(1+i)m-2(1-i)是(1)实数;(2)虚数;(3)纯虚数;(4)零。解:Z=(2m2-3m-2)+(m2-3m+2)i=(2m+1)(m-2)+(m-1)(m-2)i(1)当m=1或m=2时,Z是实数。(2)当m≠1且m≠2时,Z是虚数。(3)当即当时,Z是纯虚数。(4)当即m=2时,Z是零。例2.已知:,求实数x。解:即或x≥8。例3.计算:解:原式=1例4.求的平方根。解:设的平方根为x+yi(x,y∈R),则由复数相等的定义得(1)2+(2)2,得(x2+y2)2=25x2+y2=5(舍去负值)........(3)(1)+(3),x2=3,x=,(3)-(1),y2=2,。 ,∴或∴的平方根为。例5.已知:|Z+2-2i|=1,求:|Z|的最值。解:|Z-(-2+2i)|=1,几何意义:Z在复平面上对应的点集是以O'(-2,2)为圆心,r=1的圆。|Z|的几何意义是⊙O'上的点与原点的距离;,∴,。例6.说明|Z+1|+|Z-2|=2a(a∈R+)表示的曲线。解:原式|Z-(-1)|+|Z-2|=2a,几何意义是Z在复平面上对应的点Z与F1(-1,0),F2(2,0)距离之和等于2a的轨迹,|F1F2|=3。2(1)当2a>3即时,Z的轨迹是以F1,F2为焦点,2a为长轴的椭圆。(2)当2a=3即时,Z的轨迹是线段F1,F2。(3)当2a<3即时,Z的轨迹不存在。例7.已知a∈R,方程x2+2x+a=0的两根为a、b,求|a|+|b|。解: a∈R,∴方程为实系数一元二次方程,可以用Δ来判定方程有无实根。(1)当Δ=4-4a≥0,即a≤1时,方程的根a、b为实数根。由韦达定理又 |a|+|b|≥0,∴①当0≤a≤1时,|a|+|b|=2,②当a<0时,|a|+|b|=。(2)当Δ=4-4a<0,即a>1时,方程的根a、b为虚根。例8.已知是实系数一元二次方程ax2+bx+1=0的根,求a,b的值。解:。方法(1) 实系数一元二次方程虚根为一对共轭复数,∴也是该方程的根。由韦达定理:3解得:a=1,。方法(2), 是方根的根,代入原方程整理得:。由复数相等的定义得解得a=1,。[本周参考练习]一、选择题:1.下面四个命题,正确的是()。A、|Z|2=Z2(Z∈C)B、(Z∈C)C、|Z|<1-1|3cosθ+i·3sinθ|B、|cosθ+isinθ|=C、|5+2i|>|-1-6i|D、|cosθ+isinθ|的最大值是,最小值是零。4.如果z=x+yi(x,y∈R),则有()。A、|z|≤|x|+|y|≤|z|B、|z|<|z|≤|x|+|y|C、|z|≤|x|+|y|<|z|D、|z|<|z|<|x|+|y|5.设z1,z2∈C,z1=的一个必要不充分条件是()。A、|z1-z2|=0B、C、z1=z2D、|z1|=|z2|6.已知f(z)=1-,且z1=2+3i,z2=5-i,则的值是()。A、-3+4iB、3-4iC、4-4iD、4+4i7.若复数z满足|z+3-4i|=2,则|z|的最小值和最大值分别是()。A、1和9B、3和7C、5和11D、4和1058.(1+i)15-(1-i)15的值是()。A、-256iB、256iC、256D...

1、当您付费下载文档后,您只拥有了使用权限,并不意味着购买了版权,文档只能用于自身使用,不得用于其他商业用途(如 [转卖]进行直接盈利或[编辑后售卖]进行间接盈利)。
2、本站所有内容均由合作方或网友上传,本站不对文档的完整性、权威性及其观点立场正确性做任何保证或承诺!文档内容仅供研究参考,付费前请自行鉴别。
3、如文档内容存在违规,或者侵犯商业秘密、侵犯著作权等,请点击“违规举报”。

碎片内容

复数四则运算

您可能关注的文档

确认删除?
VIP
微信客服
  • 扫码咨询
会员Q群
  • 会员专属群点击这里加入QQ群
客服邮箱
回到顶部