电脑桌面
添加小米粒文库到电脑桌面
安装后可以在桌面快捷访问

八年级上人教版乘法公式VIP免费

八年级上人教版乘法公式_第1页
1/3
八年级上人教版乘法公式_第2页
2/3
八年级上人教版乘法公式_第3页
3/3
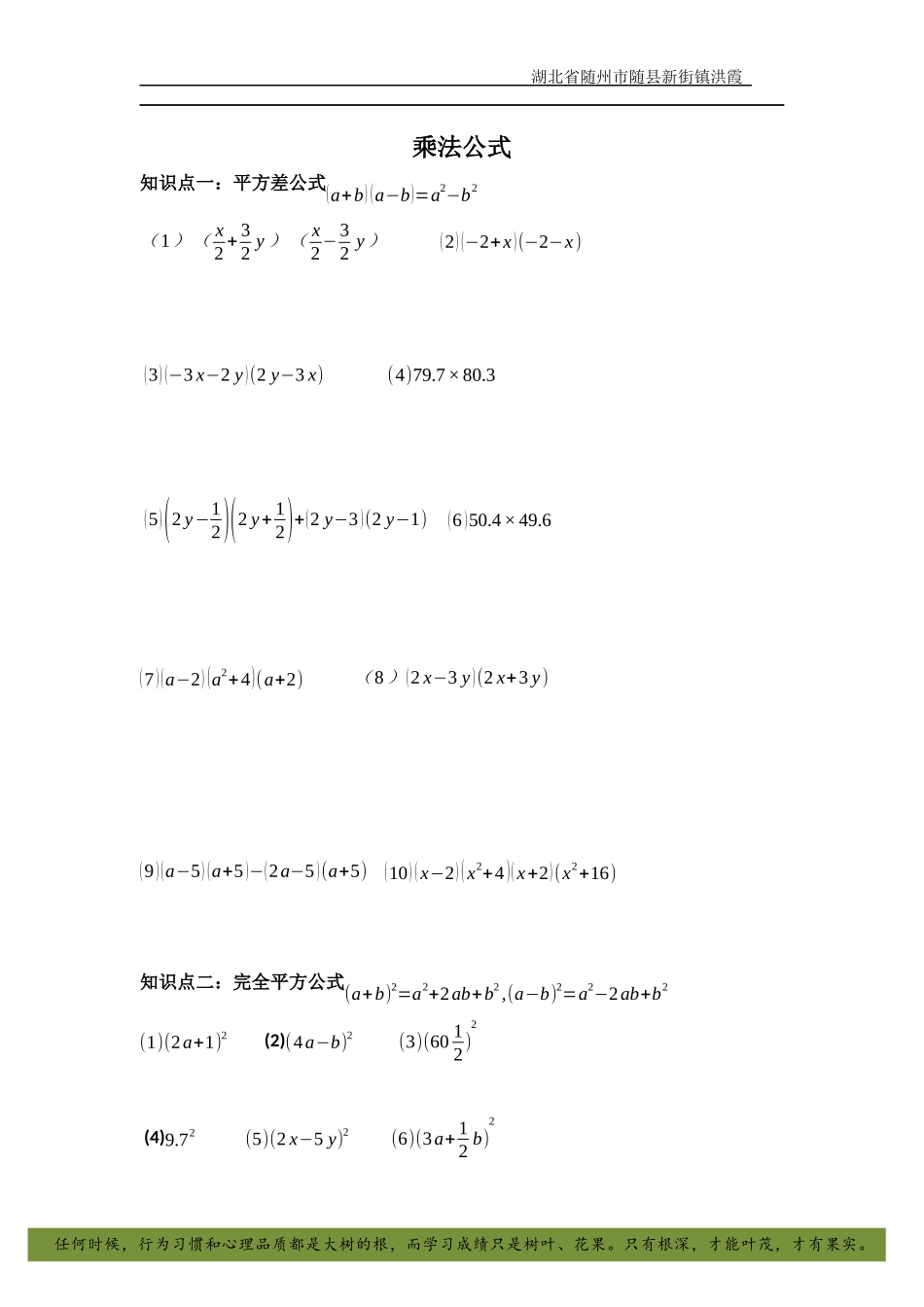
任何时候,行为习惯和心理品质都是大树的根,而学习成绩只是树叶、花果。只有根深,才能叶茂,才有果实。湖北省随州市随县新街镇洪霞乘法公式知识点一:平方差公式(a+b)(a−b)=a2−b2(1)(x2+32y)(x2−32y)(2)(−2+x)(−2−x)(3)(−3x−2y)(2y−3x)(4)79.7×80.3(5)(2y−12)(2y+12)+(2y−3)(2y−1)(6)50.4×49.6(7)(a−2)(a2+4)(a+2)(8)(2x−3y)(2x+3y)(9)(a−5)(a+5)−(2a−5)(a+5)(10)(x−2)(x2+4)(x+2)(x2+16)知识点二:完全平方公式(a+b)2=a2+2ab+b2,(a−b)2=a2−2ab+b2(1)(2a+1)2(2)(4a−b)2(3)(6012)2(4)9.72(5)(2x−5y)2(6)(3a+12b)2任何时候,行为习惯和心理品质都是大树的根,而学习成绩只是树叶、花果。只有根深,才能叶茂,才有果实。湖北省随州市随县新街镇洪霞(7)20022(8)9.82知识点三:添括号(去括号)法则添括号时,如果括号前面是“+”号,括到括号的各项都不改变符号,如果括号前面是“-”号,括到括号的各项都要改变符号1.下列变形正确的有()个。①a+b-c+a=(b+c)②a-b+c=a-(b+c)③a+b+c=a-(-b-c)④a-b-c=a-(b+c)2、运用乘法公式计算。(1)(a−b+c¿¿2(2)(a+2b−3c)2(3)(a+b+c)(a−b−c)(4)(y+2)(y−2)−(y−1)(y+5)(5)(2x−y−3)2(6)(a−2b+3c)(a−2b−3c)思维拓展:1、已知a2=4b=28求(12a+14b)(12a−14b)−(12a−14b)2的值。2、已知a2=9b=38,求(−a−b)∙(−a+b)−(a−b)2的值。3、已知a+b=6,ab=-7求下列各式的值。任何时候,行为习惯和心理品质都是大树的根,而学习成绩只是树叶、花果。只有根深,才能叶茂,才有果实。湖北省随州市随县新街镇洪霞(1)a2+b2(2)a2−ab+b2(3)a−b4、设m+n=10,mn=24,求m2+n2和(m−n)2的值5、计算(2+1)(22+1)(24+1)…(22n+1)6、计算(3+1)(32+1)(34+1)(38+1)7、观察下面的规律:12+(1×2)2+22=(1×2+1)222+(2×3)2+32=(2×3+1)232+(3×4)2+42=(3×4+1)2……写出第n行的式子,并证明你的结论。

1、当您付费下载文档后,您只拥有了使用权限,并不意味着购买了版权,文档只能用于自身使用,不得用于其他商业用途(如 [转卖]进行直接盈利或[编辑后售卖]进行间接盈利)。
2、本站所有内容均由合作方或网友上传,本站不对文档的完整性、权威性及其观点立场正确性做任何保证或承诺!文档内容仅供研究参考,付费前请自行鉴别。
3、如文档内容存在违规,或者侵犯商业秘密、侵犯著作权等,请点击“违规举报”。

碎片内容

八年级上人教版乘法公式

您可能关注的文档

百万精品文库+ 关注
实名认证
内容提供者

学习课件教案小学中学资料大全

确认删除?
VIP
微信客服
  • 扫码咨询
会员Q群
  • 会员专属群点击这里加入QQ群
客服邮箱
回到顶部