电脑桌面
添加小米粒文库到电脑桌面
安装后可以在桌面快捷访问

一元一次不等式组助学单VIP免费

一元一次不等式组助学单_第1页
1/2
一元一次不等式组助学单_第2页
2/2
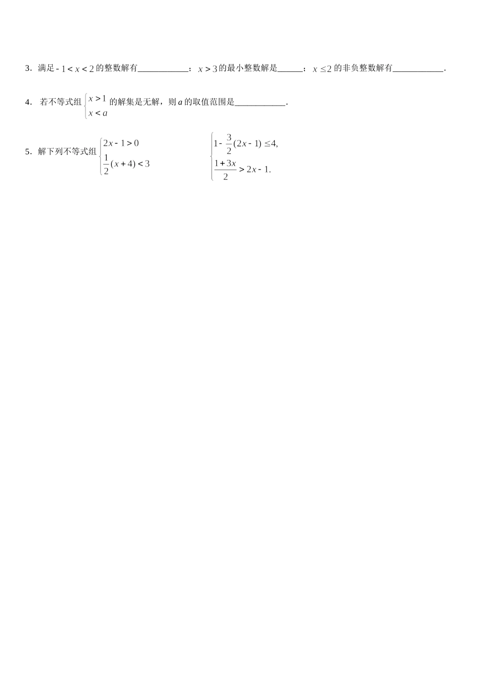
A.203B.203C.203D.2033·4一元一次不等式组(课堂助学单)探索研究:请求出一元一次不等式组的解.不等式组的解为:不等式组的解为:不等式组的解为:不等式组的解为:现学现用请解下列一元一次不等式组:数学日志:今天,月日,我与一元一次不等式组从相识到相知,得知了一些信息:1.____________________________________________________________________是一元一次不等式组;2._________________________________________________________________是一元一次不等式组的解;3.解一元一次不等式组的步骤:;4.一元一次不等式组的解确定规律:大大取,小小取,大小小大取,大大小小取;5.我的困惑:.效果检测(10分)1.不等式组的解在数轴上表示正确的是()2.不等式组的解为()A.x>2B.x<3C.x>2或x<-3D.2<x<3①②①②3.满足的整数解有____________;的最小整数解是______;的非负整数解有____________.4.若不等式组的解集是无解,则a的取值范围是____________.5.解下列不等式组

1、当您付费下载文档后,您只拥有了使用权限,并不意味着购买了版权,文档只能用于自身使用,不得用于其他商业用途(如 [转卖]进行直接盈利或[编辑后售卖]进行间接盈利)。
2、本站所有内容均由合作方或网友上传,本站不对文档的完整性、权威性及其观点立场正确性做任何保证或承诺!文档内容仅供研究参考,付费前请自行鉴别。
3、如文档内容存在违规,或者侵犯商业秘密、侵犯著作权等,请点击“违规举报”。

碎片内容

一元一次不等式组助学单

您可能关注的文档

百万精品文档+ 关注
实名认证
内容提供者

中小学学习资料教案课件

相关文档

确认删除?
VIP
微信客服
  • 扫码咨询
会员Q群
  • 会员专属群点击这里加入QQ群
客服邮箱
回到顶部