电脑桌面
添加小米粒文库到电脑桌面
安装后可以在桌面快捷访问

高中数学必修4_三角函数诱导公式及练习zzVIP免费

高中数学必修4_三角函数诱导公式及练习zz_第1页
1/2
高中数学必修4_三角函数诱导公式及练习zz_第2页
2/2
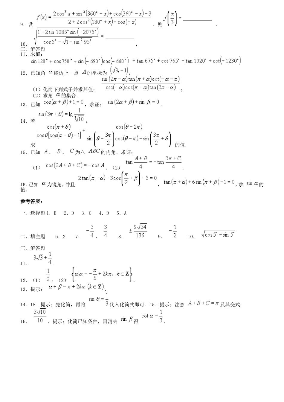
三角函数诱导公式sin(-α)=-sinα,cos(-α)=cosα,tan(-α)=-tanαcot(-α)=-cotαsin(π/2-α)=cosα,cos(π/2-α)=sinα,tan(π/2-α)=cotα,cot(π/2-α)=tanα,sin(π/2+α)=cosα,cos(π/2+α)=-sinα,tan(π/2+α)=-cotα,cot(π/2+α)=-tanα,sin(π-α)=sinαcos(π-α)=-cosα,tan(π-α)=-tanα,cot(π-α)=-cotαsin(π+α)=-sinα,cos(π+α)=-cosα,tan(π+α)=tanαcot(π+α)=cotα,sin(3π/2-α)=-cosα,cos(3π/2-α)=-sinαtan(3π/2-α)=cotα,cot(3π/2-α)=tanα,sin(3π/2+α)=-cosαcos(3π/2+α)=sinα,tan(3π/2+α)=-cotα,cot(3π/2+α)=-tanαsin(2π-α)=-sinα,cos(2π-α)=cosα,tan(2π-α)=-tanαcot(2π-α)=-cotα,sin(2kπ+α)=sinα,cos(2kπ+α)=cosαtan(2kπ+α)=tanα,cot(2kπ+α)=cotα(其中k∈Z)习题精选一、选择题1.若,则的值为().A.B.C.D.2.的值等于().A.B.C.D.3.在△中,下列各表达式为常数的是().A.B.C.D.4.如果,且,则可以是().A.B.C.D.5.已知是方程的根,那么的值等于().A.B.C.D.二、填空题6.计算.7.已知,,则,.8.若,则.9.设,则.10..三、解答题11.求值:12.已知角终边上一点的坐标为,(1)化简下列式子并求其值:;(2)求角的集合.13.已知,求证:.14.若,求的值.15.已知、、为△的内角,求证:(1);(2).16.已知为锐角,并且,,求的值.参考答案:一、选择题1.B2.D3.C4.D5.A二、填空题6.27.,8.9.10.三、解答题11..12.(1);(2).13.提示:.14.18.提示:先化简,再将代入化简式即可.15.提示:注意及其变式.16..提示:化简已知条件,再消去得.

1、当您付费下载文档后,您只拥有了使用权限,并不意味着购买了版权,文档只能用于自身使用,不得用于其他商业用途(如 [转卖]进行直接盈利或[编辑后售卖]进行间接盈利)。
2、本站所有内容均由合作方或网友上传,本站不对文档的完整性、权威性及其观点立场正确性做任何保证或承诺!文档内容仅供研究参考,付费前请自行鉴别。
3、如文档内容存在违规,或者侵犯商业秘密、侵犯著作权等,请点击“违规举报”。

碎片内容

高中数学必修4_三角函数诱导公式及练习zz

您可能关注的文档

百万精品文档+ 关注
实名认证
内容提供者

中小学学习资料教案课件

确认删除?
VIP
微信客服
  • 扫码咨询
会员Q群
  • 会员专属群点击这里加入QQ群
客服邮箱
回到顶部