电脑桌面
添加小米粒文库到电脑桌面
安装后可以在桌面快捷访问

2016学年第一学期高二数学摸底考试VIP免费

2016学年第一学期高二数学摸底考试_第1页
1/4
2016学年第一学期高二数学摸底考试_第2页
2/4
2016学年第一学期高二数学摸底考试_第3页
3/4
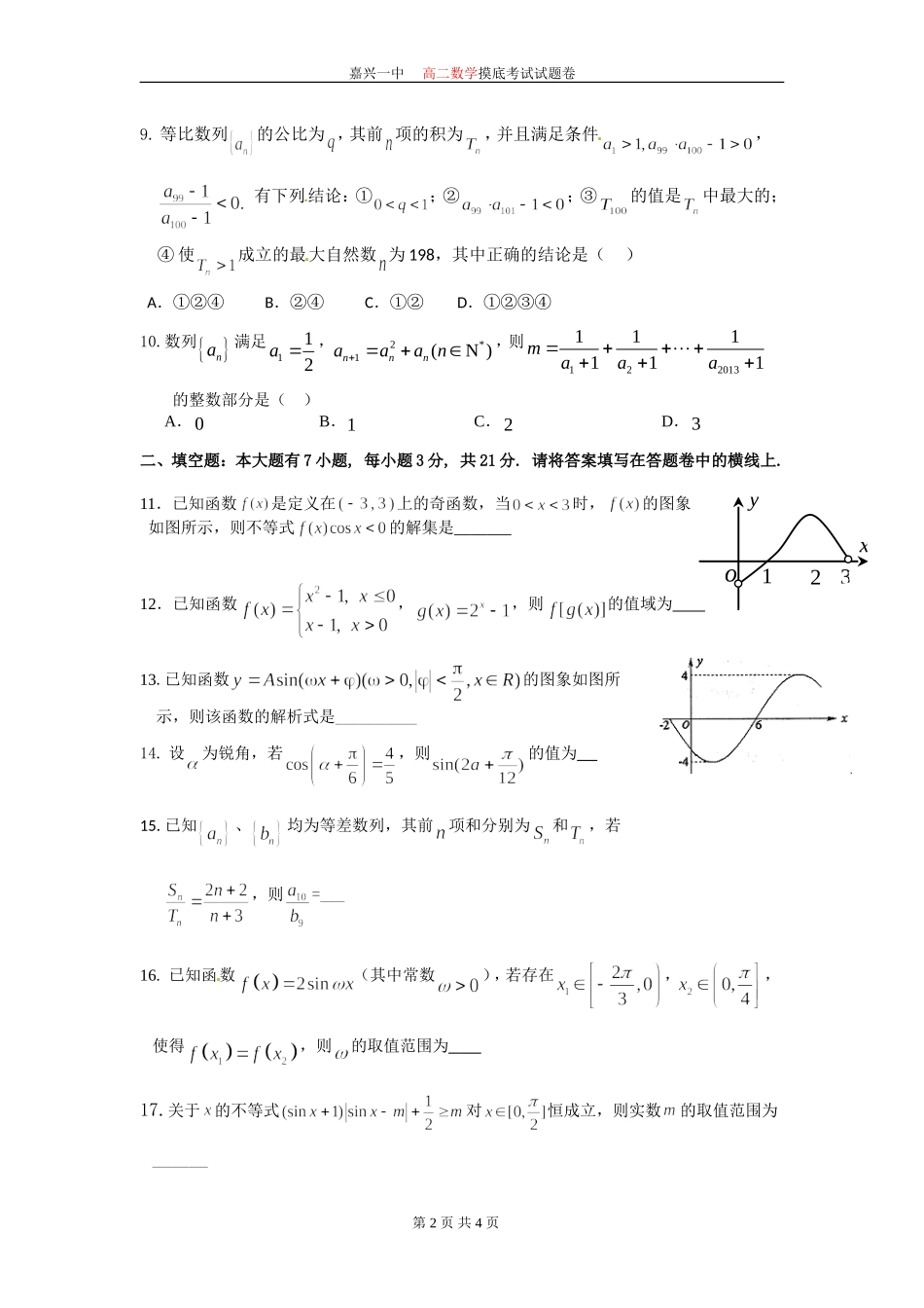
嘉兴一中高二数学摸底考试试题卷2016学年第一学期摸底考试高二数学试题卷满分[100]分,时间[120]分钟2016年8月一、选择题:本大题共10小题,每小题3分,共30分.在每小题给出的四个选项中,有且只有一项是符合题目要求的.1.已知集合,,则()A.B.C.D.2.的值为()A.-4B.4C.2D.-2[来源:学|科|网Z|X|X|K]3.不等式的解集是,则的值为()A.10B.﹣10C.14D.﹣144.在等差数列中,=,则数列的前11项和=()A.24B.48C.66D.1325.在中,三边、、与面积的关系式为,则角C为()A.30°B.45°C.60°D.90°6.要得到函数的图象,只需将函数的图象上所有的点的()A.横坐标缩短到原来的倍(纵坐标不变),再向左平行移动个单位长度B.横坐标缩短到原来的倍(纵坐标不变),再向右平行移动个单位长度C.横坐标伸长到原来的2倍(纵坐标不变),再向左平行移动个单位长度D.横坐标伸长到原来的2倍(纵坐标不变),再向右平行移动个单位长度7.已知终边上一点的坐标为(则可能是()A.B.3C.D.8.设P为函数()sin()fxxp=的图象上的一个最高点,Q为函数()cos()gxxp=的图象上的一个最低点,则|PQ|最小值是()A.244p+B.2C.172D.22第1页共4页xyo132嘉兴一中高二数学摸底考试试题卷9.等比数列的公比为,其前项的积为,并且满足条件,有下列结论:①;②;③的值是中最大的;④使成立的最大自然数为198,其中正确的结论是()A.①②④B.②④C.①②D.①②③④10.数列na满足112a,2*1(N)nnnaaan,则122013111111maaa的整数部分是()A.0B.1C.2D.3二、填空题:本大题有7小题,每小题3分,共21分.请将答案填写在答题卷中的横线上.11.已知函数是定义在上的奇函数,当时,的图象如图所示,则不等式的解集是_______12.已知函数,,则的值域为13.已知函数的图象如图所示,则该函数的解析式是__________14.设为锐角,若,则的值为15.已知、均为等差数列,其前项和分别为和,若,则=___16.已知函数(其中常数),若存在,,使得,则的取值范围为17.关于的不等式对恒成立,则实数的取值范围为______第2页共4页嘉兴一中高二数学摸底考试试题卷三、解答题:本大题共5小题,共49分。解答应写出文字说明,证明过程或演算步骤。18.已知(Ⅰ)求的值;(Ⅱ)求的值.19.已知数列的前n项和,是等差数列,且(Ⅰ)求数列的通项公式;(Ⅱ)令求数列的前n项和Tn.20.设函数直线与函数图像相邻两交点的距离为.(Ⅰ)求的值;(Ⅱ)在中,角、、所对的边分别是、、,若点是函数图像的一个对称中心,且,求面积的最大值.21.设函数,(Ⅰ)若,①判断函数的单调性并加以证明;②如果恒成立,求的取值范围;(Ⅱ)若总存在使得当时,恰有,求的取值范围.22.设是数列的前项之积,满足()Ⅰ求,并求数列的通项公式;()Ⅱ设,是否存在,使对恒成第3页共4页嘉兴一中高二数学摸底考试试题卷立?请说明理由.第4页共4页

1、当您付费下载文档后,您只拥有了使用权限,并不意味着购买了版权,文档只能用于自身使用,不得用于其他商业用途(如 [转卖]进行直接盈利或[编辑后售卖]进行间接盈利)。
2、本站所有内容均由合作方或网友上传,本站不对文档的完整性、权威性及其观点立场正确性做任何保证或承诺!文档内容仅供研究参考,付费前请自行鉴别。
3、如文档内容存在违规,或者侵犯商业秘密、侵犯著作权等,请点击“违规举报”。

碎片内容

2016学年第一学期高二数学摸底考试

您可能关注的文档

确认删除?
VIP
微信客服
  • 扫码咨询
会员Q群
  • 会员专属群点击这里加入QQ群
客服邮箱
回到顶部