电脑桌面
添加小米粒文库到电脑桌面
安装后可以在桌面快捷访问

第二章《基本初等函数》单元测试VIP免费

第二章《基本初等函数》单元测试_第1页
1/7
第二章《基本初等函数》单元测试_第2页
2/7
第二章《基本初等函数》单元测试_第3页
3/7
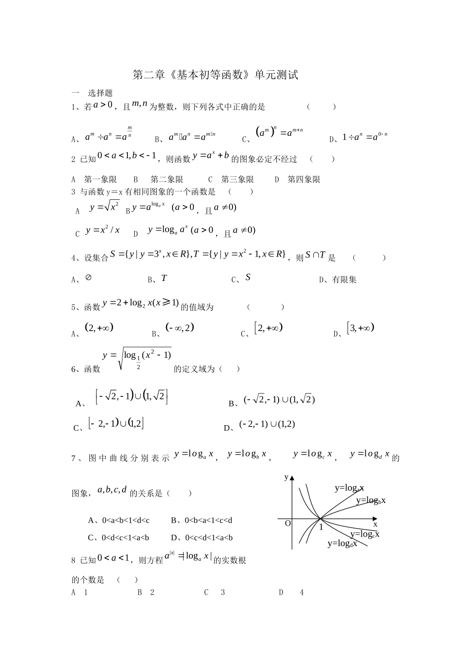
第二章《基本初等函数》单元测试一选择题1、若0a,且,mn为整数,则下列各式中正确的是()A、mmnnaaaB、mnmnaaaC、nmmnaaD、01nnaa2已知01,1ab,则函数xyab的图象必定不经过()A第一象限B第二象限C第三象限D第四象限3与函数y=x有相同图象的一个函数是()A2yxBlogaxya(0a,且0)aC2/yxxDlogxaya(0a,且0)a4、设集合2{|3,},{|1,}xSyyxRTyyxxR,则ST是()A、B、TC、SD、有限集5、函数22log(1)yxx≥的值域为()A、2,B、,2C、2,D、3,6、函数)1(log221xy的定义域为()A、2,11,2B、)2,1()1,2(C、2,11,2D、)2,1()1,2(7、图中曲线分别表示lgayox,lgbyox,lgcyox,lgdyox的图象,,,,abcd的关系是()A、00且a≠1).(1)求f(x)的定义域和值域;(2)讨论f(x)的单调性.20、对于5年可成材的树木,在此期间的年生长率为18%,以后每年的年生长率为10%,树木成材后,既可以出售树木重载新树,也可以让其继续生长,问那种方案可以获得较大的木材量?(注:只考虑10年得情形,5110%1.61)21、判断函数2()lg1fxxx的奇偶性和单调性,并加以证明参考答案及提示一、1-5DADCC6-10DDBDB提示:1、由指数运算可得;2、由xya的图像向下平移b个单位(1b)可得;3、A:值域不同B:定义域不同C;定义域没有元素04、是两个函数值域的交集5、由21log0,2xxy得6、由2212log(1)0011xx得即可解得7、同一坐标系下对数函数的图像:在x轴上方,按顺时针方向底数依次增大(直线1x左边的底数小于1,右边的大于1);8、数形结合,画出logxayayx与的图像,它们的交点个数即是方程根的个数.9、由232012xxExxx得或,又由10220xFxxx得,得解;10、yfxxfy与图像是同一个.二、11.3212.013.1211p14.2115.48提示:11.原式=322223log123log22;12.从里到外:346log814,log41,log1013.略14.对数式化为指数式:1121,2121xx即;15.根据分段函数自变量与对应法则的关系,有:2log3222222log32log322232248ff三、16.(1)1a(2)5217.(1)2222224422222222222225223xxxxxxxxxxxx(2)3333228822222222225231110xxxxxxxxxxxx18.(1)(-1,1),(2)(0,1)19.(1)易得f(x)的定义域为{x|x∈R}.设y=11xxaa,解得ax=-11yy① ax>0当且仅当-11yy>0时,方程①有解.解-11yy>0得-1

1、当您付费下载文档后,您只拥有了使用权限,并不意味着购买了版权,文档只能用于自身使用,不得用于其他商业用途(如 [转卖]进行直接盈利或[编辑后售卖]进行间接盈利)。
2、本站所有内容均由合作方或网友上传,本站不对文档的完整性、权威性及其观点立场正确性做任何保证或承诺!文档内容仅供研究参考,付费前请自行鉴别。
3、如文档内容存在违规,或者侵犯商业秘密、侵犯著作权等,请点击“违规举报”。

碎片内容

第二章《基本初等函数》单元测试

您可能关注的文档

教育教学文库+ 关注
实名认证
内容提供者

本店有大量的教育教学资料,课件

确认删除?
微信客服
  • 扫码咨询
会员Q群
  • 会员专属群点击这里加入QQ群