电脑桌面
添加小米粒文库到电脑桌面
安装后可以在桌面快捷访问

苏教版高中数学选修2-1复数的四则运算1VIP免费

苏教版高中数学选修2-1复数的四则运算1_第1页
1/4
苏教版高中数学选修2-1复数的四则运算1_第2页
2/4
苏教版高中数学选修2-1复数的四则运算1_第3页
3/4
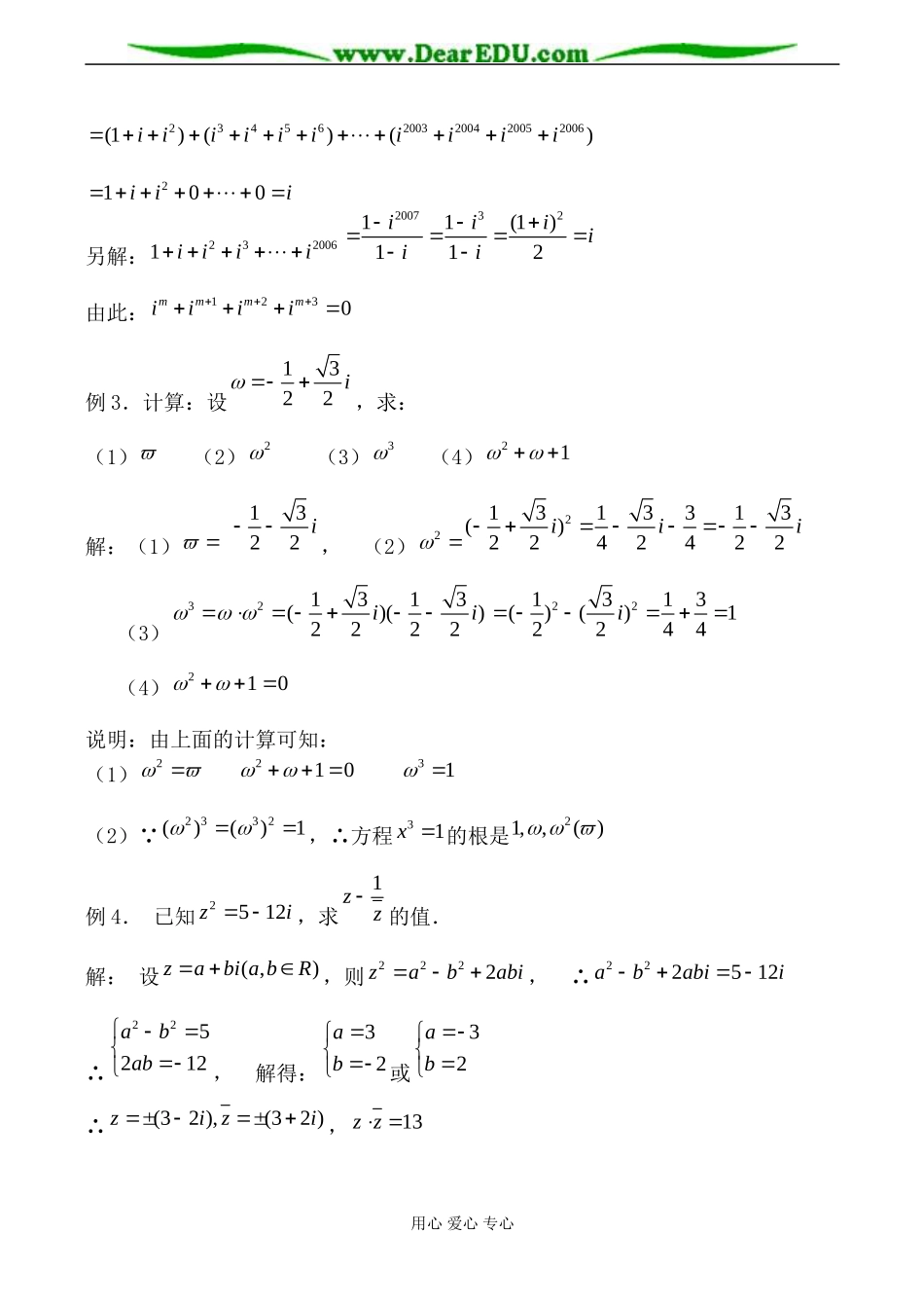
复数的四则运算教学目标(1)理解复数的代数形式的除法和乘方的运算法则;(2)能运用运算律进行复数的四则运算;教学重点,难点:复数的除法法则和乘方法则及应用.教学过程一.问题情境1.复习练习:(1)计算:2213()(1)()3324iii(2)[()()][()()]ababiababi(3)3(2)i(4)若复数z满足(12)43izi,则z二.学生活动与学生讨论上述(3)(4)两题的解法.三.建构数学1.复数的乘方:复数的乘方是相同复数的积.根据复数的乘法的运算律,实数范围内正整数指数幂的运算律在复数范围内仍然成立,即对任意123,,zzzC及*,mnN,有:mnmnzzz,()mnmnzz,1212()nnnzzzz2.两个复数的除法法则:(1)复数除法的定义:我们把满足()()(0)cdixyiabicdi的复数(,)xyixyR叫做复数abi除以复数cdi的商,记作:()()abicdi或abicdi(2)两个复数的除法法则:用心爱心专心一般地:2222()()()()abiabicdiacbdbcadicdicdicdicdcd由此:(1)两个复数的商仍是一个复数,它是乘法运算的逆运算.(2)两个复数相除是把分子、分母同乘以分母的共轭复数,再把结果写成实部、虚部分开的形式.3.虚数单位i的性质:123422,1,,()1iiiiiii一般地,若*nN,有44142431,,1,nnnniiiiii四.数学运用1.例题:例1.计算:(1)182167ii(2)(2)(1)(1)(1)iiiii解:(1)182167ii1821(1821)(76)[(126126)(147108)]255376(76)(76)493685iiiiiiiii(2)(2)(1)(1)(1)iiiii(21)(12)13(13)(2)(11)(11)2(2)(2)iiiiiiiii5515ii说明:进行复数的乘法和除法应注意:(1)i的幂必须化简;(2)除法运算中,分母实数化后,是分母上复数的实部与虚部的平方和;(3)最后结果要化为abi的形式.例2.计算:(1)2(1)i(2)33(1)(1)ii(3)2320061iiii解:(1)2(1)2ii(2)33(1)(1)ii233(1)28i(3)2320061iiii用心爱心专心234562003200420052006(1)()()iiiiiiiiii2100iii另解:2320061iiii20073211(1)112iiiiii由此:1230mmmmiiii例3.计算:设1322i,求:(1)(2)2(3)3(4)21解:(1)1322i,(2)221313313()2242422iii(3)321313()()2222ii221313()()12244i(4)210说明:由上面的计算可知:(1)221031(2)∵2332()()1,∴方程31x的根是21,,()例4.已知2512zi,求1zz的值.解:设(,)zabiabR,则2222zababi,∴222512ababii∴225212abab,解得:32ab或32ab∴(32),(32)zizi,13zz用心爱心专心∴1zz113112(32)(32)13zziiz五.回顾小结:1.复数的除法法则及注意点;2.虚数单位i的性质.用心爱心专心

1、当您付费下载文档后,您只拥有了使用权限,并不意味着购买了版权,文档只能用于自身使用,不得用于其他商业用途(如 [转卖]进行直接盈利或[编辑后售卖]进行间接盈利)。
2、本站所有内容均由合作方或网友上传,本站不对文档的完整性、权威性及其观点立场正确性做任何保证或承诺!文档内容仅供研究参考,付费前请自行鉴别。
3、如文档内容存在违规,或者侵犯商业秘密、侵犯著作权等,请点击“违规举报”。

碎片内容

苏教版高中数学选修2-1复数的四则运算1

您可能关注的文档

星河书苑+ 关注
实名认证
内容提供者

从事历史教学,热爱教育,高度负责。

确认删除?
VIP
微信客服
  • 扫码咨询
会员Q群
  • 会员专属群点击这里加入QQ群
客服邮箱
回到顶部