电脑桌面
添加小米粒文库到电脑桌面
安装后可以在桌面快捷访问

冀教版八年级上册分式和分式方程随堂练习题VIP免费

冀教版八年级上册分式和分式方程随堂练习题_第1页
1/8
冀教版八年级上册分式和分式方程随堂练习题_第2页
2/8
冀教版八年级上册分式和分式方程随堂练习题_第3页
3/8
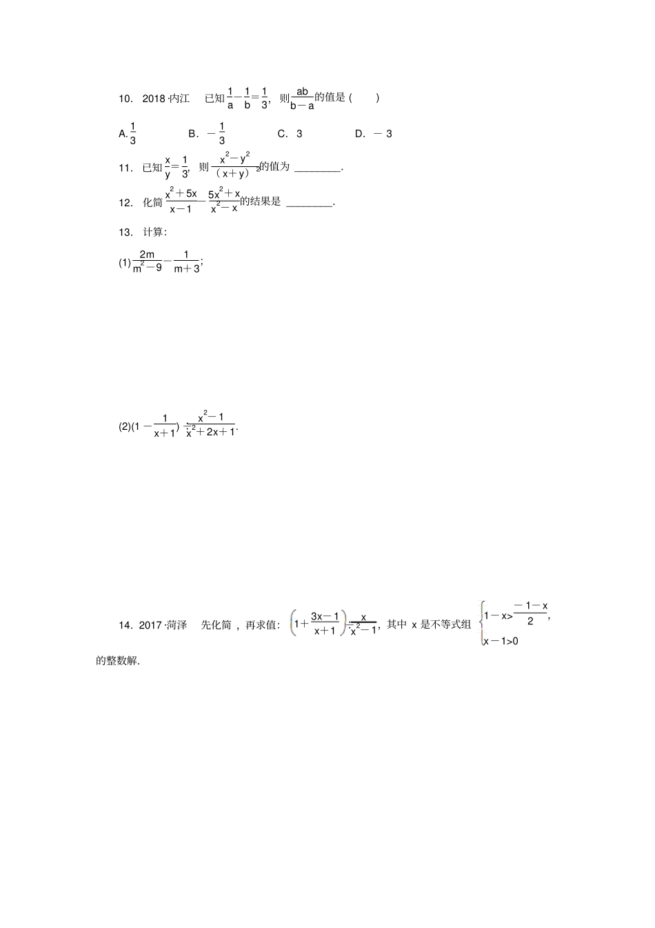
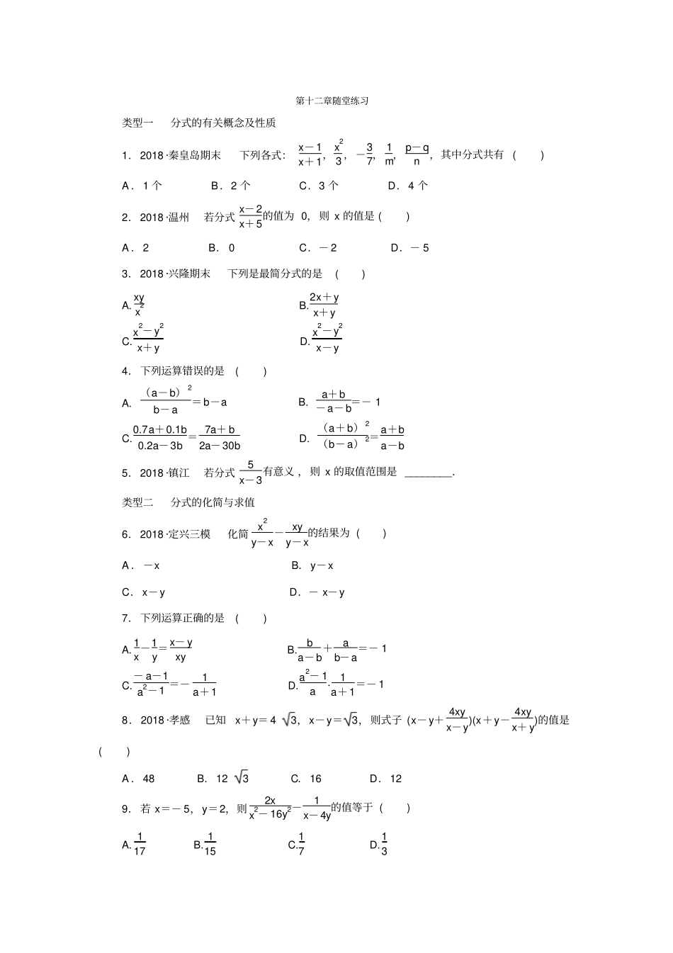
第十二章随堂练习类型一分式的有关概念及性质1.2018·秦皇岛期末下列各式:x-1x+1,x23,-37,1m,p-qn,其中分式共有()A.1个B.2个C.3个D.4个2.2018·温州若分式x-2x+5的值为0,则x的值是()A.2B.0C.-2D.-53.2018·兴隆期末下列是最简分式的是()A.xyx2B.2x+yx+yC.x2-y2x+yD.x2-y2x-y4.下列运算错误的是()A.(a-b)2b-a=b-aB.a+b-a-b=-1C.0.7a+0.1b0.2a-3b=7a+b2a-30bD.(a+b)2(b-a)2=a+ba-b5.2018·镇江若分式5x-3有意义,则x的取值范围是________.类型二分式的化简与求值6.2018·定兴三模化简x2y-x-xyy-x的结果为()A.-xB.y-xC.x-yD.-x-y7.下列运算正确的是()A.1x-1y=x-yxyB.ba-b+ab-a=-1C.-a-1a2-1=-1a+1D.a2-1a·1a+1=-18.2018·孝感已知x+y=43,x-y=3,则式子(x-y+4xyx-y)(x+y-4xyx+y)的值是()A.48B.123C.16D.129.若x=-5,y=2,则2xx2-16y2-1x-4y的值等于()A.117B.115C.17D.1310.2018·内江已知1a-1b=13,则abb-a的值是()A.13B.-13C.3D.-311.已知xy=13,则x2-y2(x+y)2的值为________.12.化简x2+5xx-1-5x2+xx2-x的结果是________.13.计算:(1)2mm2-9-1m+3;(2)(1-1x+1)÷x2-1x2+2x+1.14.2017·菏泽先化简,再求值:1+3x-1x+1÷xx2-1,其中x是不等式组1-x>-1-x2,x-1>0的整数解.类型三分式方程及其应用15.下列各式是分式方程的是()A.2x+x-15=6B.xπ+1=2-x3C.12x+1-5=0D.x+12+3x-5x16.若关于x的方程x+mx-3+3m3-x=3的解为正数,则m的取值范围是()A.m<92B.m<92且m≠32C.m>-92D.m>-94且m≠-3417.对于两个不相等的实数a,b,我们规定符号min{a,b}表示a,b中的较小的值,如min{2,4}=2,按照这个规定,方程min1x,3x=2x-1的解为()A.1B.-1C.1或-1D.-1或-218.关于x的分式方程7x-1+3=mx-1有增根,则m的值为____________.19.端午节那天,“味美早餐店”的粽子打9折出售,小红的妈妈去该店买粽子花了54元钱,比平时多买了3个,则平时每个粽子卖________元.20.解下列分式方程.(1)3x-1x-3=0;(2)1-xx-2=12-x-2;(3)xx-1-2x-1x2-1=1.21.2018·邢台期末王伟和张岩今年秋冬以来进行了两次徒步爬山活动.(1)第一次爬紫金山,他们沿通往主峰的山路爬到某景点A,行程1800米,二人从山脚下同时出发,但是王伟爬得很快,平均速度是张岩的1.2倍,结果比张岩早30分钟到达景点,求王伟的平均爬山速度;(2)第二次爬天梯山,王伟爬到顶峰用了n小时(n>2),张岩爬到顶峰的时间比王伟的1.1倍还多1小时,王伟的平均爬山速度是张岩的2倍吗?请说明理由.类型四数学活动22.探索问题:(1)请你任意写出5个正的真分数:________,________,________,________,________,每个分数的分子和分母同时加上一个正数,得到5个新的分数:________,________,________,________,________;(2)比较原来的每个分数与对应新分数的大小,可以得出下面的结论:一个真分数是ab(a,b均为正数),其分子、分母同时加上一个正数m,得a+mb+m,则两个分数的大小关系是:a+mb+m__________ab;(3)请你证明这个结论.教师详解详析1.C[解析]x-1x+1,x23,-37,1m,p-qn,其中分式有:x-1x+1,1m,p-qn,共3个.2.A[解析]由题意,得x-2=0,解得x=2.3.B[解析]A项,原式=yx,所以A选项错误;B项,2x+yx+y为最简分式,所以B选项正确;C项,原式=x-y,所以C选项错误;D项,原式=x+y,所以D选项错误.故选B.4.D5.x≠3[解析]由题意,得x-3≠0,解得x≠3.6.A[解析]原式=x2-xyy-x=x(x-y)y-x=-x.7.B[解析]A项,原式=y-xxy,故A项错误;B项,原式=ba-b-aa-b=b-aa-b=-1,故B项正确;C项,原式=-(a+1)(a+1)(a-1)=-1a-1,故C项错误;D项,原式=(a+1)(a-1)a·1a+1=a-1a,故D项错误.故选B.8.D[解析]先通分算加法,再算乘法,最后代入求值即可.具体过程如下:(x-y+4xyx-y)(x+y-4xyx+y)=(x-y)2+4xyx-y·(x+y)2-4xyx+y=(x+...

1、当您付费下载文档后,您只拥有了使用权限,并不意味着购买了版权,文档只能用于自身使用,不得用于其他商业用途(如 [转卖]进行直接盈利或[编辑后售卖]进行间接盈利)。
2、本站所有内容均由合作方或网友上传,本站不对文档的完整性、权威性及其观点立场正确性做任何保证或承诺!文档内容仅供研究参考,付费前请自行鉴别。
3、如文档内容存在违规,或者侵犯商业秘密、侵犯著作权等,请点击“违规举报”。

碎片内容

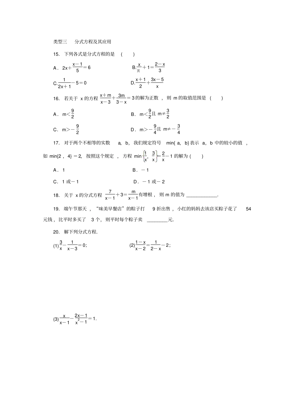
冀教版八年级上册分式和分式方程随堂练习题

文库当当响+ 关注
实名认证
内容提供者

该用户很懒,什么也没介绍

相关文档

确认删除?
VIP
微信客服
  • 扫码咨询
会员Q群
  • 会员专属群点击这里加入QQ群
客服邮箱
回到顶部