电脑桌面
添加小米粒文库到电脑桌面
安装后可以在桌面快捷访问

有理数的混合运算课件VIP免费

有理数的混合运算课件_第1页
1/11
有理数的混合运算课件_第2页
2/11
有理数的混合运算课件_第3页
3/11
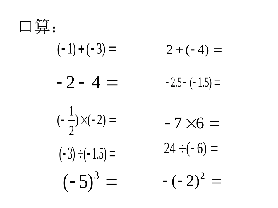
口算:(1)(3)2(4)242.5(1.5)1()(2)276(3)(1.5)24(6)3(5)2(2)目前为止,我们都学习了哪些运算?加法、减法、乘法、除法、乘方观察:下面算式中含有哪些运算?这个算式中含有加减、乘除、乘方的混合运算。21186(2)()(3)32.11有理数的混合运算探究下列各题的运算顺序例:1、2、21136()232323(4)有理数的混合运算的运算顺序:1、先算乘方,再算乘除,最后算加减。2、如果有括号,先算括号里的。巩固学习例:练习:16+5.4-25.8+12.8-7.41151122362例:练习:111135()5321141612()(2)472例:练习:1、2、2108(2)(4)(3)295(6)(4)(8)32(3)4(3)15课堂小结:1、做有理数的混合运算时,要辨析清楚运算顺序,即先算什么后算什么。2、保证每步计算结果的准确。3、适当应用简便方法,但不能乱用运算律。布置作业:P671题

1、当您付费下载文档后,您只拥有了使用权限,并不意味着购买了版权,文档只能用于自身使用,不得用于其他商业用途(如 [转卖]进行直接盈利或[编辑后售卖]进行间接盈利)。
2、本站所有内容均由合作方或网友上传,本站不对文档的完整性、权威性及其观点立场正确性做任何保证或承诺!文档内容仅供研究参考,付费前请自行鉴别。
3、如文档内容存在违规,或者侵犯商业秘密、侵犯著作权等,请点击“违规举报”。

碎片内容

有理数的混合运算课件

您可能关注的文档

精品文库+ 关注
实名认证
内容提供者

中小学课件教案大全

相关文档

确认删除?
VIP
微信客服
  • 扫码咨询
会员Q群
  • 会员专属群点击这里加入QQ群
客服邮箱
回到顶部