电脑桌面
添加小米粒文库到电脑桌面
安装后可以在桌面快捷访问

医嘱执行和查对流程VIP免费

医嘱执行和查对流程_第1页
1/3
医嘱执行和查对流程_第2页
2/3
医嘱执行和查对流程_第3页
3/3
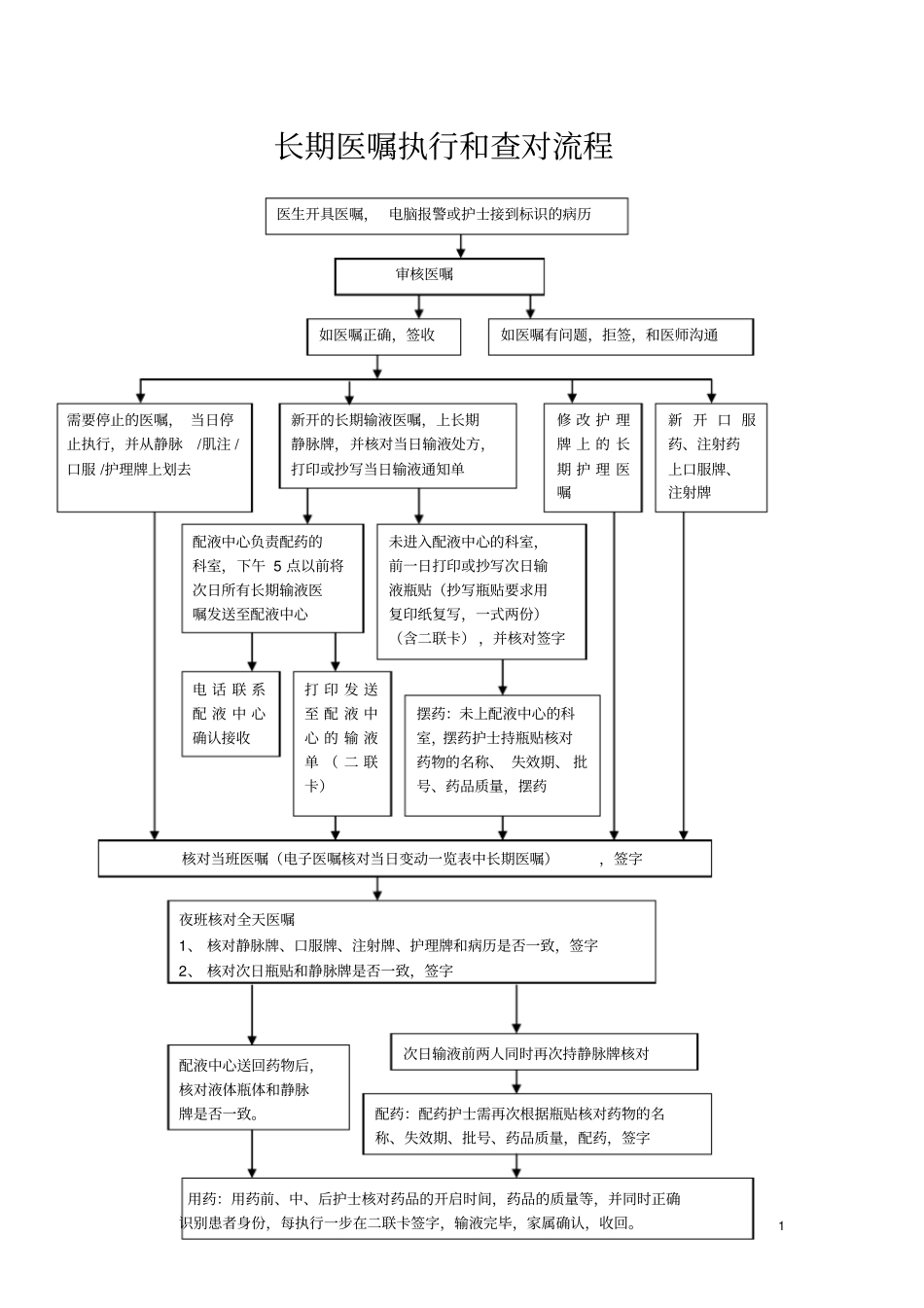
1长期医嘱执行和查对流程核对当班医嘱(电子医嘱核对当日变动一览表中长期医嘱),签字夜班核对全天医嘱1、核对静脉牌、口服牌、注射牌、护理牌和病历是否一致,签字2、核对次日瓶贴和静脉牌是否一致,签字配液中心送回药物后,核对液体瓶体和静脉牌是否一致。医生开具医嘱,电脑报警或护士接到标识的病历审核医嘱如医嘱正确,签收如医嘱有问题,拒签,和医师沟通新开口服药、注射药上口服牌、注射牌修改护理牌上的长期护理医嘱需要停止的医嘱,当日停止执行,并从静脉/肌注/口服/护理牌上划去新开的长期输液医嘱,上长期静脉牌,并核对当日输液处方,打印或抄写当日输液通知单配液中心负责配药的科室,下午5点以前将次日所有长期输液医嘱发送至配液中心未进入配液中心的科室,前一日打印或抄写次日输液瓶贴(抄写瓶贴要求用复印纸复写,一式两份)(含二联卡),并核对签字电话联系配液中心确认接收打印发送至配液中心的输液单(二联卡)配药:配药护士需再次根据瓶贴核对药物的名称、失效期、批号、药品质量,配药,签字用药:用药前、中、后护士核对药品的开启时间,药品的质量等,并同时正确识别患者身份,每执行一步在二联卡签字,输液完毕,家属确认,收回。次日输液前两人同时再次持静脉牌核对摆药:未上配液中心的科室,摆药护士持瓶贴核对药物的名称、失效期、批号、药品质量,摆药2临时医嘱执行和查对流程医生开具临时医嘱,电脑报警或护士接到标识的病历护士审核如医嘱正确,签收如医嘱有问题,拒签,和医师沟通核对临时医嘱各项检查单,和医嘱相符时,主班签收并执行核对临时医嘱处方,和医嘱相符时,主班签收打印或抄写瓶贴、核对瓶贴,签字临时注射、护理医嘱核对无误后打印或抄写注射、护理通知单再次核对瓶贴亲自执行或将瓶贴交给责任班准备执行摆药:摆药护士需持瓶贴核对药物的名称、失效期、批号、药品质量,摆药配药:配药护士需双人同时再次根据瓶贴核对药物的名称、失效期、批号、药品质量,配药,签字用药:用药前、中、后护士核对药品的开启时间,药品的质量等,并同时正确识别患者身份,每执行一步在二联卡签字,输液完毕,家属确认,收回。3注意事项:1、临时医嘱15分钟内签收,45分钟内执行;2、次日出院或需要停止的长期医嘱,需提前一天开出,如特殊情况需要立即停止的长期医嘱应在次日早7点前通知配液中心,取消配药。3、往配液中心发送医嘱后,若有再停止的医嘱,签字执行后需及时通知配液中心,取消收费;(包括急诊出院病人的医嘱)4、手抄输液卡至少抄写姓名、院号;

1、当您付费下载文档后,您只拥有了使用权限,并不意味着购买了版权,文档只能用于自身使用,不得用于其他商业用途(如 [转卖]进行直接盈利或[编辑后售卖]进行间接盈利)。
2、本站所有内容均由合作方或网友上传,本站不对文档的完整性、权威性及其观点立场正确性做任何保证或承诺!文档内容仅供研究参考,付费前请自行鉴别。
3、如文档内容存在违规,或者侵犯商业秘密、侵犯著作权等,请点击“违规举报”。

碎片内容

医嘱执行和查对流程

您可能关注的文档

确认删除?
VIP
微信客服
  • 扫码咨询
会员Q群
  • 会员专属群点击这里加入QQ群
客服邮箱
回到顶部