电脑桌面
添加小米粒文库到电脑桌面
安装后可以在桌面快捷访问

二元一次方程组的解法--加减法学案VIP免费

二元一次方程组的解法--加减法学案_第1页
1/3
二元一次方程组的解法--加减法学案_第2页
2/3
二元一次方程组的解法--加减法学案_第3页
3/3
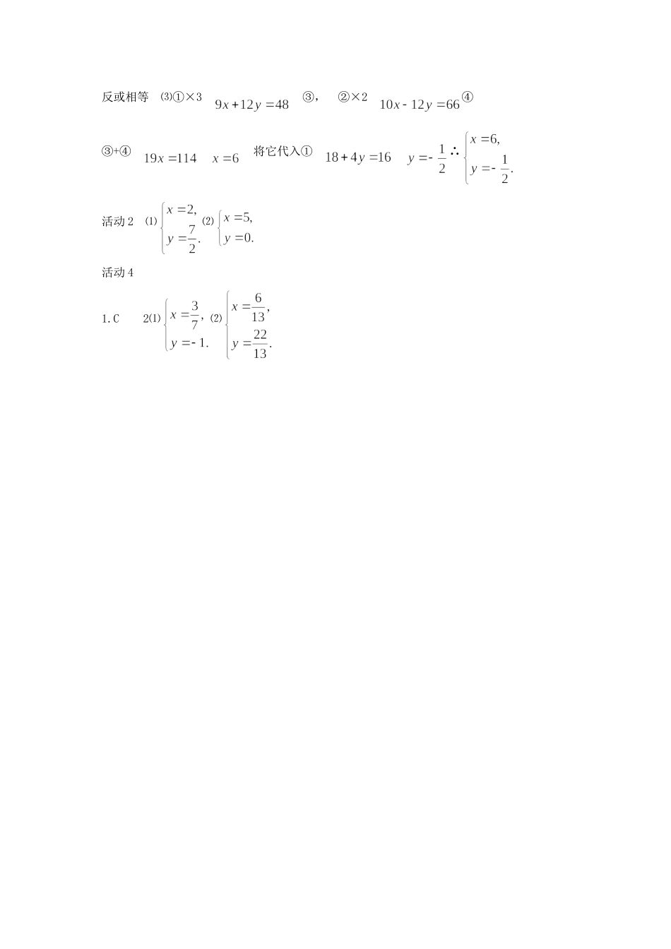
8.2消元——解二元一次方程组学案学习目标1.进一步体会消元思想,会用加减法解二元一次方程组.2.培养观察、思考、归纳及解决问题的能力重点会用加减法解二元一次方程组活动1合作探究加减消元法我们知道,可以用代入法解方程组观察与思考⑴这个方程组的两个方程中,y的系数有什么关系?利用这种关系你能发现新的消元方法吗?⑵①-②与②-①都可以吗?哪一个更简便?想一想联系上面的解法,怎样解方程组通过以上探究,在什么情况下用加法?什么情况下用减法?举一反三用加减法解方程组⑴直接加减这两个方程能消元吗?⑵怎样才能使某个未知数的系数相反或相等?⑶求出这个方程组的解.小结什么是加减消元法?用“加减法”解二元一次方程组的步骤是什么?①②①②①②活动2简单应用用加减法解方程组(自主完成)⑴⑵活动3课堂小结这节课你学到了什么知识?用加减法解二元一次方程组的步骤是什么?还有什么收获或经验?活动4课堂练习(独立完成)1.已知二元一次方程组则的值是()A.1B.0C.-1D.22.用加减法解方程组⑴⑵答案:活动1观察与思考⑴y的系数相等用减法可以消去y⑵都可以②-①更简便想一想①+②得19x=11.6x=代入②得15×-10y=8得y=-∴当某一个未知数的系数相反时,用加法;当某一个未知数的系数相等时,用减法.举一反三⑴不能⑵根据等式性质方程两边乘以适当的数,使某一个未知数的系数相①②反或相等⑶①×3③,②×2④③+④将它代入①∴活动2⑴⑵活动41.C2⑴⑵

1、当您付费下载文档后,您只拥有了使用权限,并不意味着购买了版权,文档只能用于自身使用,不得用于其他商业用途(如 [转卖]进行直接盈利或[编辑后售卖]进行间接盈利)。
2、本站所有内容均由合作方或网友上传,本站不对文档的完整性、权威性及其观点立场正确性做任何保证或承诺!文档内容仅供研究参考,付费前请自行鉴别。
3、如文档内容存在违规,或者侵犯商业秘密、侵犯著作权等,请点击“违规举报”。

碎片内容

二元一次方程组的解法--加减法学案

您可能关注的文档

精华资料店+ 关注
实名认证
内容提供者

大量教育教学资料

相关文档

确认删除?
VIP
微信客服
  • 扫码咨询
会员Q群
  • 会员专属群点击这里加入QQ群
客服邮箱
回到顶部