电脑桌面
添加小米粒文库到电脑桌面
安装后可以在桌面快捷访问

抛物线地性质归纳及证明VIP免费

抛物线地性质归纳及证明_第1页
1/9
抛物线地性质归纳及证明_第2页
2/9
抛物线地性质归纳及证明_第3页
3/9
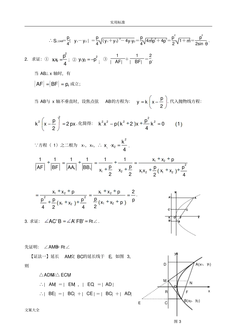
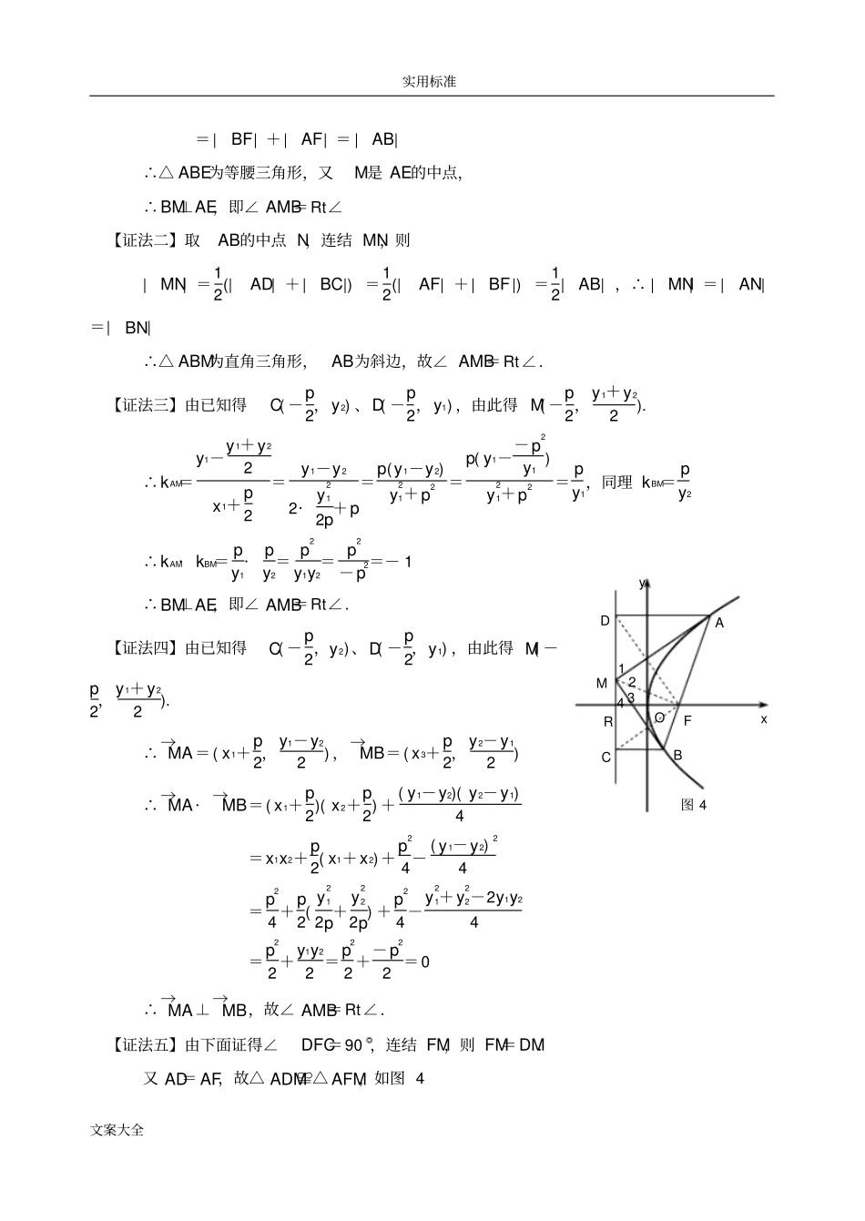
实用标准文案大全抛物线的常见性质及证明概念焦半径:抛物线上一点与其焦点的连线段;焦点弦:两端点在抛物线上且经过抛物线的焦点线段称为焦点弦.性质及证明过抛物线y2=2px(p>0)焦点F的弦两端点为),(11yxA,),(22yxB,倾斜角为,中点为C(x0,y0),分别过A、B、C作抛物线准线的垂线,垂足为A’、B’、C’.1.求证:①焦半径cos12||1ppxAF;②焦半径cos12||2ppxBF;③1|AF|+1|BF|=2p;④弦长|AB|=x1+x2+p=2sin2p;特别地,当x1=x2(=90)时,弦长|AB|最短,称为通径,长为2p;⑤△AOB的面积S△OAB=sin22p.证明:根据抛物线的定义,|AF|=|AD|=x1+p2,|BF|=|BC|=x2+p2,|AB|=|AF|+|BF|=x1+x2+p如图2,过A、B引x轴的垂线AA1、BB1,垂足为A1、B1,那么|RF|=|AD|-|FA1|=|AF|-|AF|cos,∴|AF|=|RF|1-cos=p1-cos同理,|BF|=|RF|1+cos=p1+cos∴|AB|=|AF|+|BF|=p1-cos+p1+cos=2psin2.S△OAB=S△OAF+S△OBF=12|OF||y1|+12|OF||y1|=12·p2·(|y1|+|y1|) y1y2=-p2,则y1、y2异号,因此,|y1|+|y1|=|y1-y2|CDB(x2,y2)RA(x1,y1)xyOA1B1F图2实用标准文案大全∴S△OAB=p4|y1-y2|=p4(y1+y2)2-4y1y2=p44m2p2+4p2=p221+m2=p22sin.2.求证:①2124pxx;②212yyp;③1|AF|+1|BF|=2p.当AB⊥x轴时,有AFBFp,成立;当AB与x轴不垂直时,设焦点弦AB的方程为:2pykx.代入抛物线方程:2222pkxpx.化简得:222222014pkxpkxk 方程(1)之二根为x1,x2,∴1224kxx.122111212121111112224xxpppppAFBFAABBxxxxxx121222121222424xxpxxppppppxxpxx.3.求证:'''FBABACRt∠.先证明:∠AMB=Rt∠【证法一】延长AM交BC的延长线于E,如图3,则△ADM≌△ECM,∴|AM|=|EM|,|EC|=|AD|∴|BE|=|BC|+|CE|=|BC|+|AD|CDB(x2,y2)RA(x1,y1)xyOFENM图3xyC'CB'A'BOFKA实用标准文案大全=|BF|+|AF|=|AB|∴△ABE为等腰三角形,又M是AE的中点,∴BM⊥AE,即∠AMB=Rt∠【证法二】取AB的中点N,连结MN,则|MN|=12(|AD|+|BC|)=12(|AF|+|BF|)=12|AB|,∴|MN|=|AN|=|BN|∴△ABM为直角三角形,AB为斜边,故∠AMB=Rt∠.【证法三】由已知得C(-p2,y2)、D(-p2,y1),由此得M(-p2,y1+y22).∴kAM=y1-y1+y22x1+p2=y1-y22·y212p+p=p(y1-y2)y21+p2=p(y1--p2y1)y21+p2=py1,同理kBM=py2∴kAM·kBM=py1·py2=p2y1y2=p2-p2=-1∴BM⊥AE,即∠AMB=Rt∠.【证法四】由已知得C(-p2,y2)、D(-p2,y1),由此得M(-p2,y1+y22).∴MA→=(x1+p2,y1-y22),MB→=(x3+p2,y2-y12)∴MA→·MB→=(x1+p2)(x2+p2)+(y1-y2)(y2-y1)4=x1x2+p2(x1+x2)+p24-(y1-y2)24=p24+p2(y212p+y222p)+p24-y21+y22-2y1y24=p22+y1y22=p22+-p22=0∴MA→⊥MB→,故∠AMB=Rt∠.【证法五】由下面证得∠DFC=90,连结FM,则FM=DM.又AD=AF,故△ADM≌△AFM,如图4CDBRAxyOF图41234M实用标准文案大全∴∠1=∠2,同理∠3=∠4∴∠2+∠3=12×180=90∴∠AMB=Rt∠.接着证明:∠DFC=Rt∠【证法一】如图5,由于|AD|=|AF|,AD∥RF,故可设∠AFD=∠ADF=∠DFR=,同理,设∠BFC=∠BCF=∠CFR=,而∠AFD+∠DFR+∠BFC+∠CFR=180∴2(+)=180,即+=90,故∠DFC=90【证法二】取CD的中点M,即M(-p2,y1+y22)由前知kAM=py1,kCF=-y2+p2+p2=-y2p=py1∴kAM=kCF,AM∥CF,同理,BM∥DF∴∠DFC=∠AMB=90.【证法三】 DF→=(p,-y1),CF→=(p,-y2),∴DF→·CF→=p2+y1y2=0∴DF→⊥CF→,故∠DFC=90.【证法四】由于|RF|2=p2=-y1y2=|DR|·|RC|,即|DR||RF|=|RF||RC|,且∠DRF=∠FRC=90∴△DRF∽△FRC∴∠DFR=∠RCF,而∠RCF+∠RFC=90∴∠DFR+∠RFC=90∴∠DFC=904.C’A、C’B是抛物线的切线图5CDB(x2,y2)RA(x1,y1)xyOF(p2,0)CDB(x2,y2)RA(x1,y1)xyOFM图6GHD1N1NMxyOF图7M1l实用标准文案大全【证法一】 kAM=py1,AM的直线方程为y-y1=py1(x-y212p)与抛物线方程y2=2px联立消去x得y-y1=py1(y22p-y212p),整理得y2-2y1y+y21=0可见△=(2y1)2-4y21=0,故直线AM与抛物线y2=2px相切,同理BM也是抛物线的...

1、当您付费下载文档后,您只拥有了使用权限,并不意味着购买了版权,文档只能用于自身使用,不得用于其他商业用途(如 [转卖]进行直接盈利或[编辑后售卖]进行间接盈利)。
2、本站所有内容均由合作方或网友上传,本站不对文档的完整性、权威性及其观点立场正确性做任何保证或承诺!文档内容仅供研究参考,付费前请自行鉴别。
3、如文档内容存在违规,或者侵犯商业秘密、侵犯著作权等,请点击“违规举报”。

碎片内容

抛物线地性质归纳及证明

爱的疯狂+ 关注
实名认证
内容提供者

该用户很懒,什么也没介绍

相关文档

确认删除?
VIP
微信客服
  • 扫码咨询
会员Q群
  • 会员专属群点击这里加入QQ群
客服邮箱
回到顶部