电脑桌面
添加小米粒文库到电脑桌面
安装后可以在桌面快捷访问

高中数学 第一章 三角函数 1.5 函数yAsin(ωxφ)的图象(2)课时提升作业1 新人教A版必修4-新人教A版高一必修4数学试题VIP免费

高中数学 第一章 三角函数 1.5 函数yAsin(ωxφ)的图象(2)课时提升作业1 新人教A版必修4-新人教A版高一必修4数学试题_第1页
1/15
高中数学 第一章 三角函数 1.5 函数yAsin(ωxφ)的图象(2)课时提升作业1 新人教A版必修4-新人教A版高一必修4数学试题_第2页
2/15
高中数学 第一章 三角函数 1.5 函数yAsin(ωxφ)的图象(2)课时提升作业1 新人教A版必修4-新人教A版高一必修4数学试题_第3页
3/15
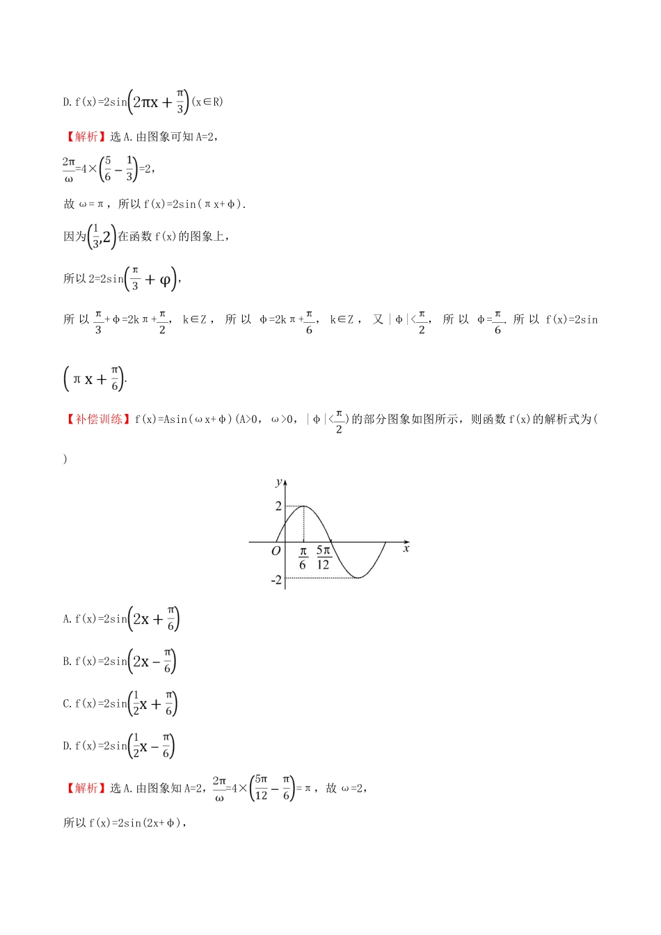
函数y=Asin(ωx+φ)的图象(二)(25分钟60分)一、选择题(每小题5分,共25分)1.函数f(x)=2sin的周期、振幅、初相分别是()A.,2,B.4π,-2,-C.4π,2,D.2π,2,【解析】选C.函数f(x)=2sin的周期为=4π,振幅为2,初相为.【补偿训练】最大值为,最小正周期为,初相为的解析式是()A.y=sinB.y=sinC.y=sinD.y=sin【解析】选D.易知函数解析式为y=sin(ωx+)(ω>0),又=,故ω=3.所以y=sin.2.(2015·南昌高一检测)若函数f(x)=2sin,则它的图象的一个对称中心为()A.B.C.(0,0)D.【解析】选A.f=2sin=0f=2sin=2,f(0)=2sin=.f=2sin=-.故是对称中心.【补偿训练】下列函数中,最小正周期为π,且图象关于直线x=对称的是()A.y=sinB.y=sinC.y=sinD.y=sin【解析】选B.对于A,x=时y=sin=;对于B,x=时,y=sin=1;对于C,x=时,y=sin=;对于D,x=时,y=sin=.综上知,y=sin的图象关于直线x=对称.3.已知函数f(x)=Asin(ωx+φ)(x∈R,A>0,ω>0,|φ|<)的图象(部分)如图所示,则f(x)的解析式是()A.f(x)=2sin(x∈R)B.f(x)=2sin(x∈R)C.f(x)=2sin(x∈R)D.f(x)=2sin(x∈R)【解析】选A.由图象可知A=2,=4×=2,故ω=π,所以f(x)=2sin(πx+φ).因为在函数f(x)的图象上,所以2=2sin,所以+φ=2kπ+,k∈Z,所以φ=2kπ+,k∈Z,又|φ|<,所以φ=.所以f(x)=2sin.【补偿训练】f(x)=Asin(ωx+φ)(A>0,ω>0,|φ|<)的部分图象如图所示,则函数f(x)的解析式为()A.f(x)=2sinB.f(x)=2sinC.f(x)=2sinD.f(x)=2sin【解析】选A.由图象知A=2,=4×=π,故ω=2,所以f(x)=2sin(2x+φ),将x=,y=2代入上式得2=2sin所以+φ=2kπ+,k∈Z,φ=2kπ+,k∈Z,又|φ|<.所以φ=,所以f(x)=2sin.4.函数f(x)=Asin(ωx+φ)(其中A>0,ω>0,|φ|<)的图象如图所示,为了得到g(x)=sinωx的图象,可以将f(x)的图象()A.向右平移个单位长度B.向右平移个单位长度C.向左平移个单位长度D.向左平移个单位长度【解析】选A.由图象知A=1,=4=π,故ω=2,所以f(x)=sin(2x+φ),将x=,y=-1代入上式得-1=sin,所以+φ=2kπ+,k∈Z,所以φ=2kπ+,k∈Z,又|φ|<,所以φ=,所以f(x)=sin=sin2.将f(x)的图象向右平移个单位长度可得g(x)=sin2x的图象.5.(2015·长春高一检测)设函数f(x)=Asin(ωx+φ),的图象关于直线x=对称,它的周期是π,则()A.f(x)的图象过点B.f(x)在上是减函数C.f(x)的一个对称中心是D.f(x)的最大值是A【解析】选C.因函数f(x)的周期是π,所以ω=2.又因为函数f(x)的图象关于直线x=对称,所以2×+φ=+kπ,k∈Z,即φ=-π+kπ,k∈Z.又由|φ|<知φ=,所以f(x)=Asin.当x=0时,f(x)=Asin=,所以A错误,由A≠0知f(x)在上的单调性不确定,故B错误,因为A的值不确定,所以f(x)的最大值也不确定,故D错误.由2x+=kπ,k∈Z得x=-+π,k∈Z,于是函数f(x)的一个对称中心为,故选C.二、填空题(每小题5分,共15分)6.y=sin相邻两条对称轴距离为,则ω为________.【解析】由题意知=×2,故|ω|=2,所以ω=±2.答案:±27.某同学利用描点法画函数y=Asin(ωx+φ)(其中0

1、当您付费下载文档后,您只拥有了使用权限,并不意味着购买了版权,文档只能用于自身使用,不得用于其他商业用途(如 [转卖]进行直接盈利或[编辑后售卖]进行间接盈利)。
2、本站所有内容均由合作方或网友上传,本站不对文档的完整性、权威性及其观点立场正确性做任何保证或承诺!文档内容仅供研究参考,付费前请自行鉴别。
3、如文档内容存在违规,或者侵犯商业秘密、侵犯著作权等,请点击“违规举报”。

碎片内容

高中数学 第一章 三角函数 1.5 函数yAsin(ωxφ)的图象(2)课时提升作业1 新人教A版必修4-新人教A版高一必修4数学试题

您可能关注的文档

确认删除?
微信客服
  • 扫码咨询
会员Q群
  • 会员专属群点击这里加入QQ群