电脑桌面
添加小米粒文库到电脑桌面
安装后可以在桌面快捷访问

高中数学 课时分层作业24 指数幂及运算(含解析)新人教A版必修第一册-新人教A版高一第一册数学试题VIP专享VIP免费

高中数学 课时分层作业24 指数幂及运算(含解析)新人教A版必修第一册-新人教A版高一第一册数学试题_第1页
1/4
高中数学 课时分层作业24 指数幂及运算(含解析)新人教A版必修第一册-新人教A版高一第一册数学试题_第2页
2/4
高中数学 课时分层作业24 指数幂及运算(含解析)新人教A版必修第一册-新人教A版高一第一册数学试题_第3页
3/4
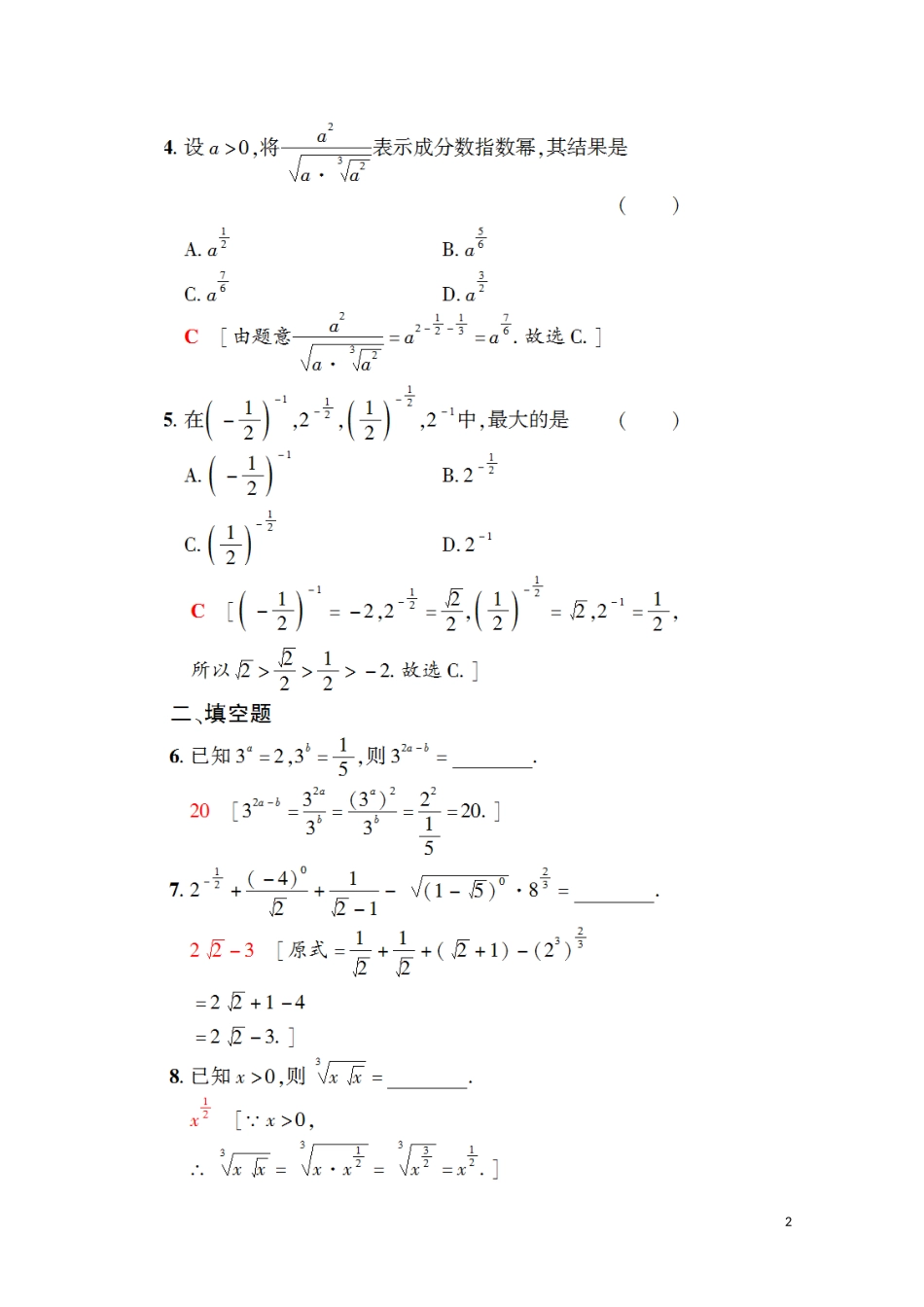
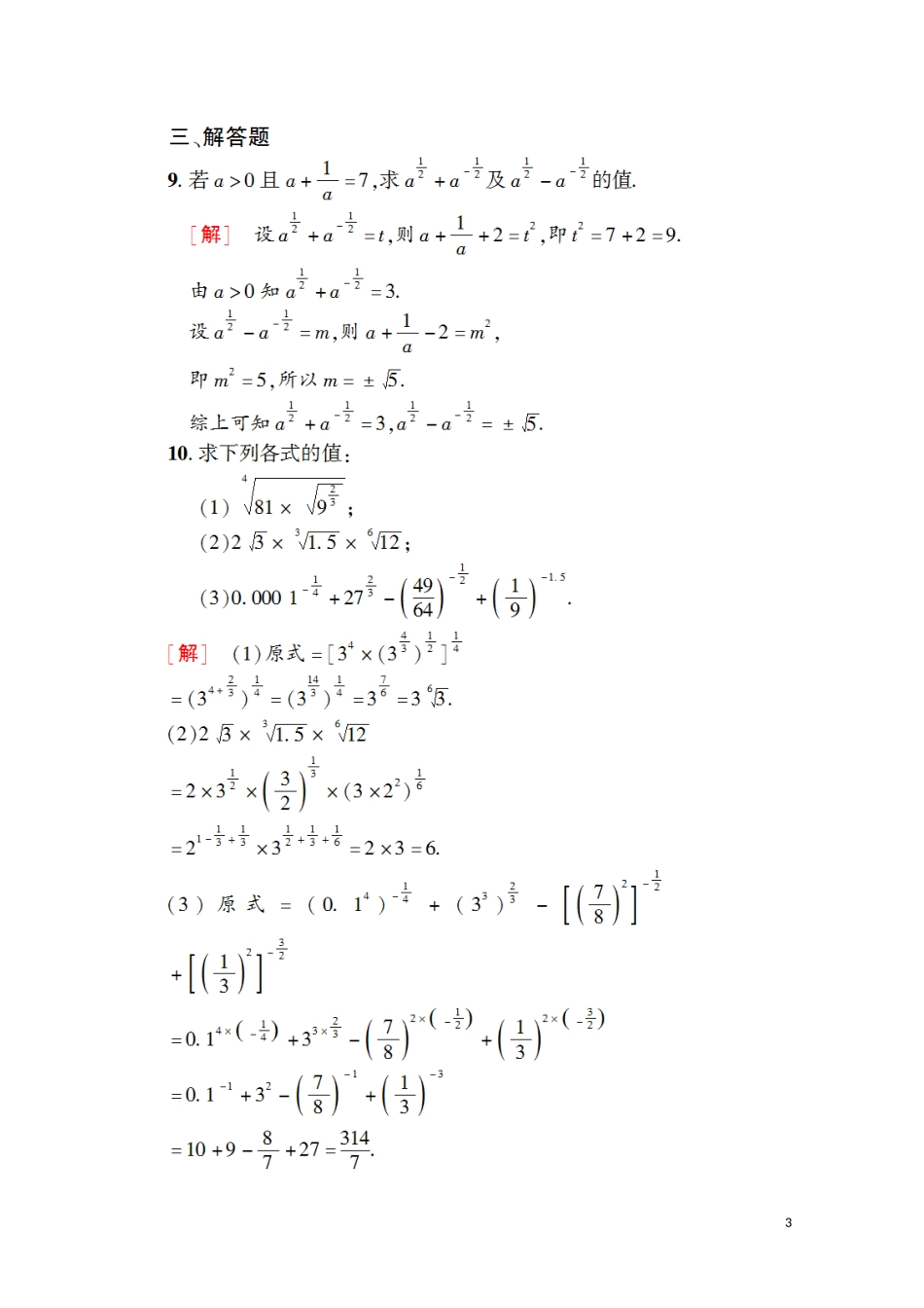
课时分层作业(二十四)指数幂及运算(建议用时:60分钟)[合格基础练]一、选择题1.下列各式运算错误的是()A.(-a2b)2·(-ab2)3=-a7b8B.(-a2b3)3÷(-ab2)3=a3b3C.(-a3)2·(-b2)3=a6b6D.[-(a3)2·(-b2)3]3=a18b18C[对于A,(-a2b)2·(-ab2)3=a4b2·(-a3b6)=-a7b8,故A正确;对于B,(-a2b3)3÷(-ab2)3=-a6b9÷(-a3b6)=a6-3b9-6=a3b3,故B正确;对于C,(-a3)2·(-b2)3=a6·(-b6)=-a6b6,故C错误;对于D,易知正确,故选C.]123[等级过关练]1.若(1-2x)有意义,则x的取值范围是()A.(-∞,+∞)B.∪C.D.D[∵(1-2x)=,∴1-2x>0,得x<.]2.已知ab=-5,则a+b的值是()A.2B.0C.-2D.±2B[由题意知ab<0,a+b=a+b=a+b=a+b=0,故选B.]3.已知a-a=,则a+a=________.3[因为2=a+a-1+2=2+4=5+4=9.又因为a+a>0,所以a+a=3.]4.设2x=8y+1,9y=3x-9,则x+y=________.27[由2x=8y+1,得2x=23y+3,所以x=3y+3.①由9y=3x-9,得32y=3x-9,所以2y=x-9.②由①②联立方程组,解得x=21,y=6,所以x+y=27.]5.已知x+y=12,xy=9,且x>y,求的值.[解]∵x+y=12,xy=9,∴(x-y)2=(x+y)2-4xy=108.∵x>y,∴x-y=6,∴======.4

1、当您付费下载文档后,您只拥有了使用权限,并不意味着购买了版权,文档只能用于自身使用,不得用于其他商业用途(如 [转卖]进行直接盈利或[编辑后售卖]进行间接盈利)。
2、本站所有内容均由合作方或网友上传,本站不对文档的完整性、权威性及其观点立场正确性做任何保证或承诺!文档内容仅供研究参考,付费前请自行鉴别。
3、如文档内容存在违规,或者侵犯商业秘密、侵犯著作权等,请点击“违规举报”。

碎片内容

高中数学 课时分层作业24 指数幂及运算(含解析)新人教A版必修第一册-新人教A版高一第一册数学试题

确认删除?
VIP
微信客服
  • 扫码咨询
会员Q群
  • 会员专属群点击这里加入QQ群
客服邮箱
回到顶部