电脑桌面
添加小米粒文库到电脑桌面
安装后可以在桌面快捷访问

5.7已知三角函数值求指定区间对应的角VIP免费

5.7已知三角函数值求指定区间对应的角_第1页
1/2
5.7已知三角函数值求指定区间对应的角_第2页
2/2
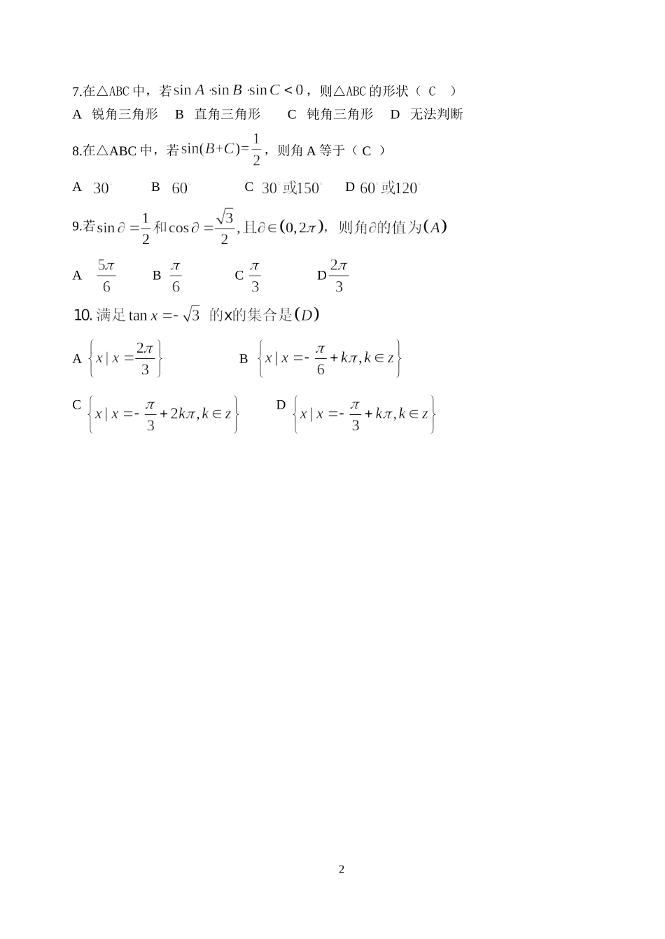
5.7已知三角函数值求指定区间对应的角一、判断题:1.已知0≤α≤2,sinα=,则α=(×)2.若tanx=,且x∈(0,),则x=(√)3.满足cosx=-1的x的集合是(×)4.在△ABC中,若cosA=,则A=(×)5.tanx=,且x∈(0,),则x=(√)二、选择题:1.已知A是三角形的内角,且cosA=,则A=(B)ABCD或2.若sinα=,且0≤α≤2,则α=(D)ABCD或3.若sinα=1,则α=(D)AB(k∈Z)C(k∈Z)D(k∈Z)4.已知cosx=(x∈[0,]),则x=(C)AB或CD或5.若tanx=-1,x∈(-,),则x=(A)A或B或C或D或6.若,则x等于(B)ABCD17.在△ABC中,若,则△ABC的形状(C)A锐角三角形B直角三角形C钝角三角形D无法判断8.在△ABC中,若,则角A等于(C)ABCD9.若ABCDABCD2

1、当您付费下载文档后,您只拥有了使用权限,并不意味着购买了版权,文档只能用于自身使用,不得用于其他商业用途(如 [转卖]进行直接盈利或[编辑后售卖]进行间接盈利)。
2、本站所有内容均由合作方或网友上传,本站不对文档的完整性、权威性及其观点立场正确性做任何保证或承诺!文档内容仅供研究参考,付费前请自行鉴别。
3、如文档内容存在违规,或者侵犯商业秘密、侵犯著作权等,请点击“违规举报”。

碎片内容

5.7已知三角函数值求指定区间对应的角

您可能关注的文档

精品中小学文库+ 关注
实名认证
内容提供者

精品资料,应有尽有

相关文档

确认删除?
VIP
微信客服
  • 扫码咨询
会员Q群
  • 会员专属群点击这里加入QQ群
客服邮箱
回到顶部