电脑桌面
添加小米粒文库到电脑桌面
安装后可以在桌面快捷访问

二次函数例题VIP免费

二次函数例题_第1页
1/8
二次函数例题_第2页
2/8
二次函数例题_第3页
3/8
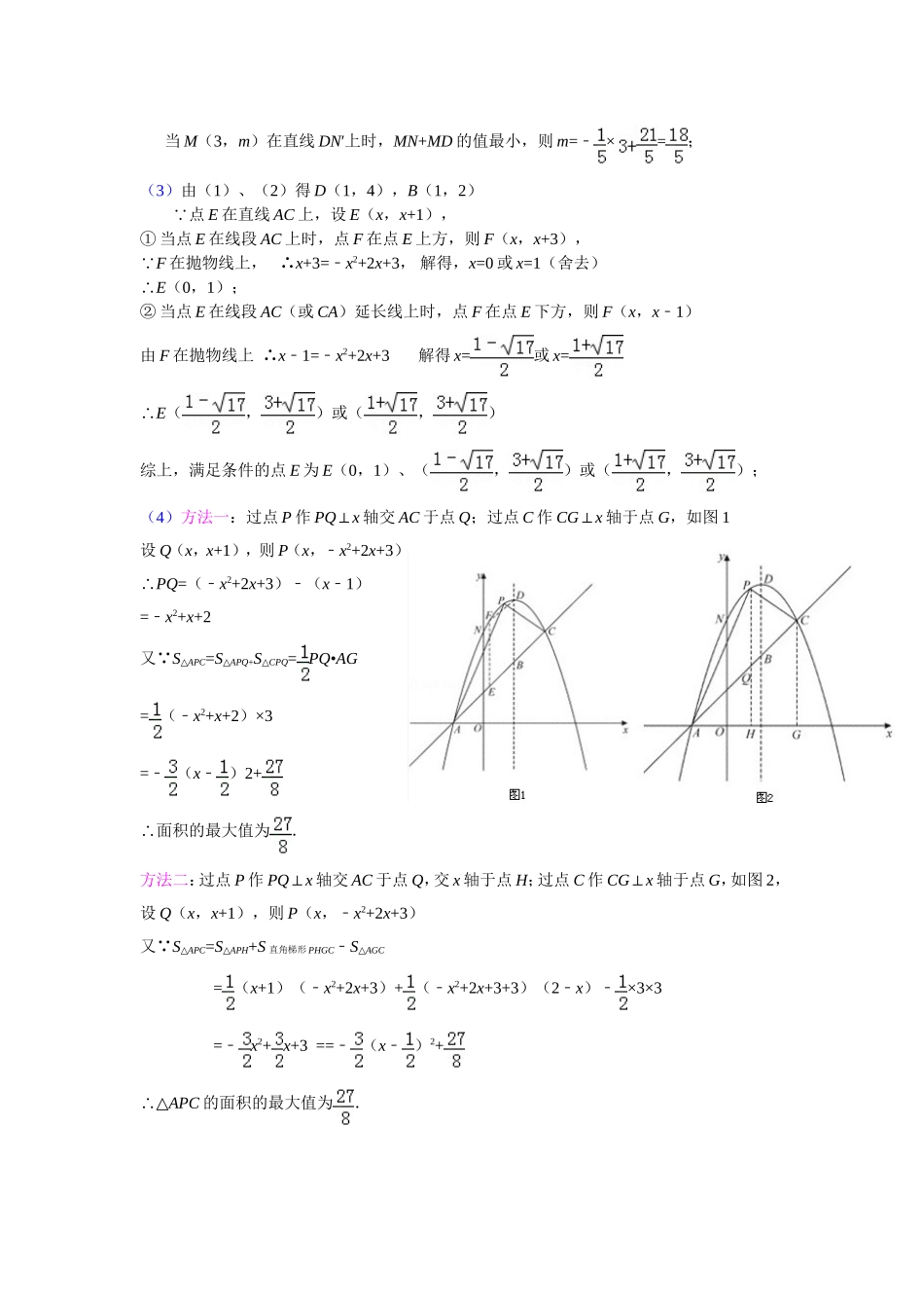
(2012•恩施州)如图,已知抛物线y=﹣x2+bx+c与一直线相交于A(﹣1,0),C(2,3)两点,与y轴交于点N.其顶点为D.(1)抛物线及直线AC的函数关系式;(2)设点M(3,m),求使MN+MD的值最小时m的值;(3)若抛物线的对称轴与直线AC相交于点B,E为直线AC上的任意一点,过点E作EF∥BD交抛物线于点F,以B,D,E,F为顶点的四边形能否为平行四边形?若能,求点E的坐标;若不能,请说明理由;(4)若P是抛物线上位于直线AC上方的一个动点,求△APC的面积的最大值.分析:(1)利用待定系数法求二次函数解析式、一次函数解析式;(2)根据两点之间线段最短作N点关于直线x=3的对称点N′,当M(3,m)在直线DN′上时,MN+MD的值最小;(3)需要分类讨论:①当点E在线段AC上时,点F在点E上方,则F(x,x+3)和②当点E在线段AC(或CA)延长线上时,点F在点E下方,则F(x,x1﹣),然后利用二次函数图象上点的坐标特征可以求得点E的坐标;(4)方法一:过点P作PQ⊥x轴交AC于点Q;过点C作CG⊥x轴于点G,如图1.设Q(x,x+1),则P(x,﹣x2+2x+3).根据两点间的距离公式可以求得线段PQ=﹣x2+x+2;最后由图示以及三角形的面积公式知S△APC=﹣(x﹣)2+,所以由二次函数的最值的求法可知△APC的面积的最大值;方法二:过点P作PQ⊥x轴交AC于点Q,交x轴于点H;过点C作CG⊥x轴于点G,如图2.设Q(x,x+1),则P(x,﹣x2+2x+3).根据图示以及三角形的面积公式知S△APC=S△APH+S直角梯形PHGC﹣S△AGC=﹣(x﹣)2+,所以由二次函数的最值的求法可知△APC的面积的最大值;解:(1)由抛物线y=﹣x2+bx+c过点A(﹣1,0)及C(2,3)得,,解得,故抛物线为y=﹣x2+2x+3又设直线为y=kx+n过点A(﹣1,0)及C(2,3)得,解得故直线AC为y=x+1;(2)作N点关于直线x=3的对称点N′,则N′(6,3),由(1)得D(1,4),故直线DN′的函数关系式为y=﹣x+,当M(3,m)在直线DN′上时,MN+MD的值最小,则m=﹣×=;(3)由(1)、(2)得D(1,4),B(1,2) 点E在直线AC上,设E(x,x+1),①当点E在线段AC上时,点F在点E上方,则F(x,x+3), F在抛物线上,∴x+3=﹣x2+2x+3,解得,x=0或x=1(舍去)∴E(0,1);②当点E在线段AC(或CA)延长线上时,点F在点E下方,则F(x,x1﹣)由F在抛物线上∴x1=﹣﹣x2+2x+3解得x=或x=∴E(,)或(,)综上,满足条件的点E为E(0,1)、(,)或(,);(4)方法一:过点P作PQ⊥x轴交AC于点Q;过点C作CG⊥x轴于点G,如图1设Q(x,x+1),则P(x,﹣x2+2x+3)∴PQ=(﹣x2+2x+3)﹣(x1﹣)=﹣x2+x+2又 S△APC=S△APQ+S△CPQ=PQ•AG=(﹣x2+x+2)×3=﹣(x﹣)2+∴面积的最大值为.方法二:过点P作PQ⊥x轴交AC于点Q,交x轴于点H;过点C作CG⊥x轴于点G,如图2,设Q(x,x+1),则P(x,﹣x2+2x+3)又 S△APC=S△APH+S直角梯形PHGC﹣S△AGC=(x+1)(﹣x2+2x+3)+(﹣x2+2x+3+3)(2﹣x)﹣×3×3=﹣x2+x+3==﹣(x﹣)2+∴△APC的面积的最大值为.例2:【2011浙江杭州】2011年在国家央行加息的压力下,某公司决定研制一种新型节能产品并加以销售,现准备在一线城市和二线城市两个不同地方按不同销售方案进行销售,以便开拓市场.若只在一线城市销售,销售价格y(元/件)与月销量x(件)的函数关系式为y=x+150,成本为20元/件,无论销售多少,每月还需支出广告费62500元,设月利润为(元)(利润=销售额-成本-广告费).若只在二线城市销售,销售价格为150元/件,受各种不确定因素影响,成本为a元/件(a为常数,10≤a≤40),当月销量为x(件)时,每月还需缴纳x2元的附加费,设月利润为(元)(利润=销售额-成本-附加费).(1)当x=1000时,y=元/件,w一线=元;(2)分别求出,与x间的函数关系式(不必写x的取值范围);(3)当x为何值时,在一线城市销售的月利润最大?若在二线城市销售月利润的最大值与在一线城市销售月利润的最大值相同,求a的值;(4)如果某月要将5000件产品全部销售完,请你通过分析帮公司决策,选择在二线城市还是在一线城市销售才能使所获月利润较大?解:(1)14057500;(2)w一线=x(y-20)-62500=x2+130x,W二线=x2+(150)x....

1、当您付费下载文档后,您只拥有了使用权限,并不意味着购买了版权,文档只能用于自身使用,不得用于其他商业用途(如 [转卖]进行直接盈利或[编辑后售卖]进行间接盈利)。
2、本站所有内容均由合作方或网友上传,本站不对文档的完整性、权威性及其观点立场正确性做任何保证或承诺!文档内容仅供研究参考,付费前请自行鉴别。
3、如文档内容存在违规,或者侵犯商业秘密、侵犯著作权等,请点击“违规举报”。

碎片内容

二次函数例题

您可能关注的文档

确认删除?
VIP
微信客服
  • 扫码咨询
会员Q群
  • 会员专属群点击这里加入QQ群
客服邮箱
回到顶部