电脑桌面
添加小米粒文库到电脑桌面
安装后可以在桌面快捷访问

椭圆与双曲线性质有关性质推论归纳共92条VIP免费

椭圆与双曲线性质有关性质推论归纳共92条_第1页
1/16
椭圆与双曲线性质有关性质推论归纳共92条_第2页
2/16
椭圆与双曲线性质有关性质推论归纳共92条_第3页
3/16
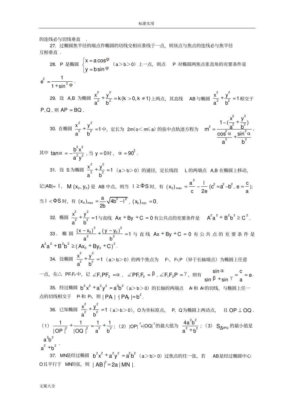
标准实用文案大全椭圆与双曲线的对偶性质92条椭圆1.12||||2PFPFa2.标准方程:22221xyab3.11||1PFed4.点P处的切线PT平分△PF1F2在点P处的外角.5.PT平分△PF1F2在点P处的外角,则焦点在直线PT上的射影H点的轨迹是以长轴为直径的圆,除去长轴的两个端点.6.以焦点弦PQ为直径的圆必与对应准线相离.7.以焦点半径PF1为直径的圆必与以长轴为直径的圆内切.8.设A1、A2为椭圆的左、右顶点,则△PF1F2在边PF2(或PF1)上的旁切圆,必与A1A2所在的直线切于A2(或A1).9.椭圆22221xyab(a>b>o)的两个顶点为1(,0)Aa,2(,0)Aa,与y轴平行的直线交椭圆于P1、P2时A1P1与A2P2交点的轨迹方程是22221xyab.10.若000(,)Pxy在椭圆22221xyab上,则过0P的椭圆的切线方程是00221xxyyab.11.若000(,)Pxy在椭圆22221xyab外,则过Po作椭圆的两条切线切点为P1、P2,则切点弦P1P2的直线方程是00221xxyyab.12.AB是椭圆22221xyab的不平行于对称轴且过原点的弦,M为AB的中点,则22OMABbkka.13.若000(,)Pxy在椭圆22221xyab内,则被Po所平分的中点弦的方程是2200002222xxyyxyabab.14.若000(,)Pxy在椭圆22221xyab内,则过Po的弦中点的轨迹方程是22002222xxyyxyabab.15.若PQ是椭圆22221xyab(a>b>0)上对中心张直角的弦,则122222121111(||,||)rOPrOQrrab.16.若椭圆22221xyab(a>b>0)上中心张直角的弦L所在直线方程为1AxBy(0)AB,标准实用文案大全则(1)222211ABab;(2)424222222aAbBLaAbB.17.给定椭圆1C:222222bxayab(a>b>0),2C:222222222()abbxayabab,则(i)对1C上任意给定的点000(,)Pxy,它的任一直角弦必须经过2C上一定点M(2222002222(,)ababxyabab.(ii)对2C上任一点'''000(,)Pxy在1C上存在唯一的点'M,使得'M的任一直角弦都经过'0P点.18.设000(,)Pxy为椭圆(或圆)C:22221xyab(a>0,.b>0)上一点,P1P2为曲线C的动弦,且弦P0P1,P0P2斜率存在,记为k1,k2,则直线P1P2通过定点00(,)Mmxmy(1)m的充要条件是212211mbkkma.19.过椭圆22221xyab(a>0,b>0)上任一点00(,)Axy任意作两条倾斜角互补的直线交椭圆于B,C两点,则直线BC有定向且2020BCbxkay(常数).20.椭圆22221xyab(a>b>0)的左右焦点分别为F1,F2,点P为椭圆上任意一点12FPF,则椭圆的焦点角形的面积为122tan2FPFSb,2222(tan,tan)22abPcbcc.21.若P为椭圆22221xyab(a>b>0)上异于长轴端点的任一点,F1,F2是焦点,12PFF,21PFF,则tant22accoac.22.椭圆22221xyab(a>b>0)的焦半径公式:10||MFaex,20||MFaex(1(,0)Fc,2(,0)Fc00(,)Mxy).23.若椭圆22221xyab(a>b>0)的左、右焦点分别为F1、F2,左准线为L,则当0<e≤21时,可在椭圆上求一点P,使得PF1是P到对应准线距离d与PF2的比例中项.24.P为椭圆22221xyab(a>b>0)上任一点,F1,F2为二焦点,A为椭圆内一定点,则2112||||||2||aAFPAPFaAF,当且仅当2,,AFP三点共线时,等号成立.25.椭圆22221xyab(a>b>0)上存在两点关于直线l:0()ykxx对称的充要条件是22220222()abxabk.26.过椭圆焦半径的端点作椭圆的切线,与以长轴为直径的圆相交,则相应交点与相应焦点标准实用文案大全的连线必与切线垂直.27.过椭圆焦半径的端点作椭圆的切线交相应准线于一点,则该点与焦点的连线必与焦半径互相垂直.28.P是椭圆cossinxayb(a>b>0)上一点,则点P对椭圆两焦点张直角的充要条件是2211sine.29.设A,B为椭圆2222(0,1)xykkkab上两点,其直线AB与椭圆22221xyab相交于,PQ,则APBQ.30.在椭圆22221xyab中,定长为2m(o<m≤a)的弦中点轨迹方程为2222222221()cossinxyabmab,其中2222tanbxay,当0y时,90.31.设S为椭圆22221xyab(a>b>0)的通径,定长线段L的两端点A,B在椭圆上移动,记|AB|=l,00(,)Mxy是AB中点,则当lS时,有20max()2alxce222(cab,cea);当lS时,有220max()42axblb,0min()0x.32.椭圆22221xyab与直线0AxByC有公共点的充要条件是22222AaBbC.33.椭圆220022()()1xxyyab与直线0AxByC有公共点的充要条件是2222200()AaBbAxByC.34.设椭圆22221xyab(a>b>0)的两个焦点为F1、F2,P(异于长轴端点)为椭圆上任意一点,在△PF1F2中,记12FPF,12PFF,12FFP,则有sinsinsincea.35.经过椭...

1、当您付费下载文档后,您只拥有了使用权限,并不意味着购买了版权,文档只能用于自身使用,不得用于其他商业用途(如 [转卖]进行直接盈利或[编辑后售卖]进行间接盈利)。
2、本站所有内容均由合作方或网友上传,本站不对文档的完整性、权威性及其观点立场正确性做任何保证或承诺!文档内容仅供研究参考,付费前请自行鉴别。
3、如文档内容存在违规,或者侵犯商业秘密、侵犯著作权等,请点击“违规举报”。

碎片内容

椭圆与双曲线性质有关性质推论归纳共92条

您可能关注的文档

文库响当当+ 关注
实名认证
内容提供者

该用户很懒,什么也没介绍

相关文档

确认删除?
VIP
微信客服
  • 扫码咨询
会员Q群
  • 会员专属群点击这里加入QQ群
客服邮箱
回到顶部