电脑桌面
添加小米粒文库到电脑桌面
安装后可以在桌面快捷访问

求数列通项公式地11种方法VIP免费

求数列通项公式地11种方法_第1页
1/23
求数列通项公式地11种方法_第2页
2/23
求数列通项公式地11种方法_第3页
3/23
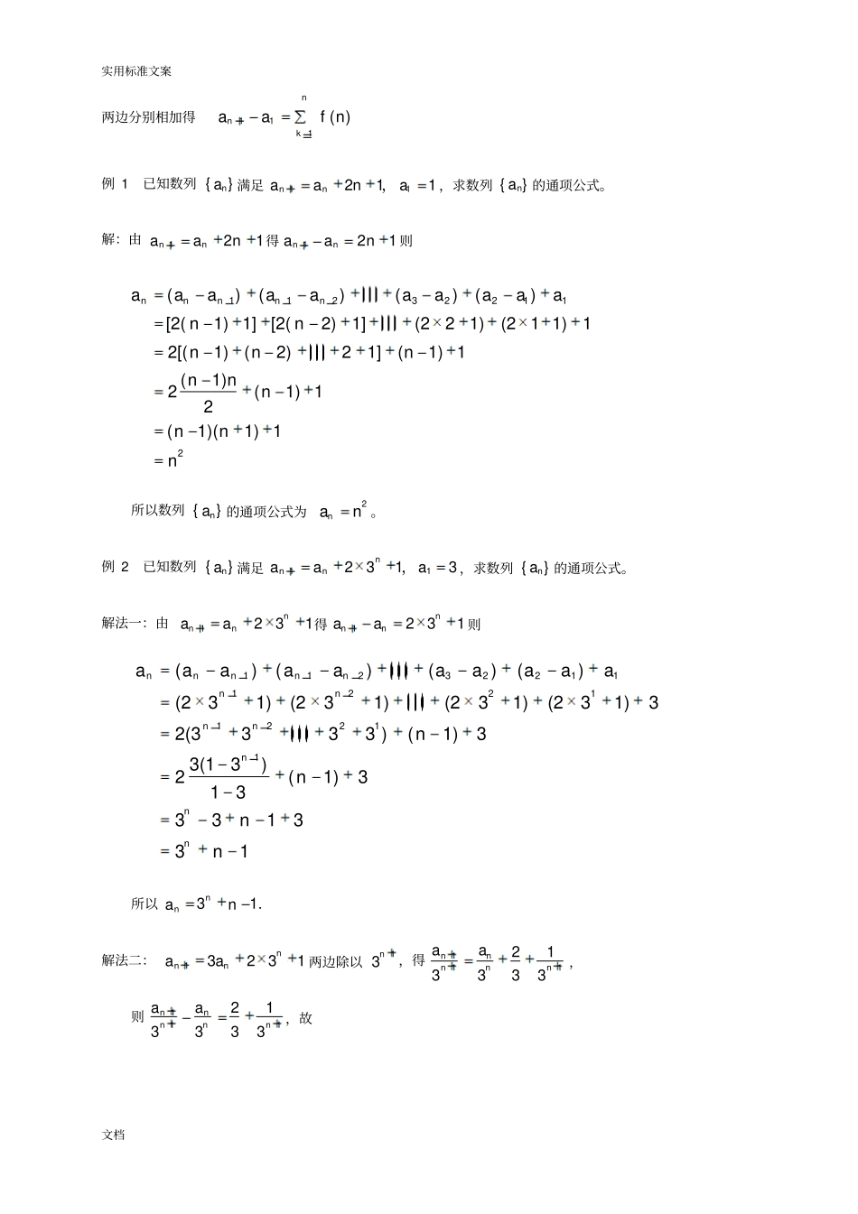
实用标准文案文档求数列通项公式的11种方法方法总述:一.利用递推关系式求数列通项的11种方法:累加法、累乘法、待定系数法、阶差法(逐差法)、迭代法、对数变换法、倒数变换法、换元法(目的是去递推关系式中出现的根号)、数学归纳法(少用)不动点法(递推式是一个数列通项的分式表达式)、特征根法二.四种基本数列:等差数列、等比数列、等和数列、等积数列及其广义形式。等差数列、等比数列的求通项公式的方法是:累加和累乘,这二种方法是求数列通项公式的最基本方法。三.求数列通项的方法的基本思路是:把所求数列通过变形,代换转化为等级差数列或等比数列。四.求数列通项的基本方法是:累加法和累乘法。五.数列的本质是一个函数,其定义域是自然数集的一个函数。一、累加法1.适用于:1()nnaafn----------这是广义的等差数列累加法是最基本的二个方法之一。2.若1()nnaafn(2)n,则21321(1)(2)()nnaafaafaafn实用标准文案文档两边分别相加得111()nnkaafn例1已知数列{}na满足11211nnaana,,求数列{}na的通项公式。解:由121nnaan得121nnaan则112322112()()()()[2(1)1][2(2)1](221)(211)12[(1)(2)21](1)1(1)2(1)12(1)(1)1nnnnnaaaaaaaaaannnnnnnnnnn所以数列{}na的通项公式为2nan。例2已知数列{}na满足112313nnnaaa,,求数列{}na的通项公式。解法一:由1231nnnaa得1231nnnaa则11232211122112211()()()()(231)(231)(231)(231)32(3333)(1)33(13)2(1)313331331nnnnnnnnnnnnaaaaaaaaaannnn所以31.nnan解法二:13231nnnaa两边除以13n,得111213333nnnnnaa,则111213333nnnnnaa,故实用标准文案文档112232112232111122122()()()()33333333212121213()()()()3333333332(1)11111()1333333nnnnnnnnnnnnnnnnnnnnnaaaaaaaaaaaan因此11(13)2(1)2113133133223nnnnnann,则21133.322nnnan练习1.已知数列na的首项为1,且*12()nnaannN写出数列na的通项公式.答案:12nn练习2.已知数列}{na满足31a,)2()1(11nnnaann,求此数列的通项公式.答案:裂项求和nan12评注:已知aa1,)(1nfaann,其中f(n)可以是关于n的一次函数、二次函数、指数函数、分式函数,求通项na.①若f(n)是关于n的一次函数,累加后可转化为等差数列求和;②若f(n)是关于n的二次函数,累加后可分组求和;③若f(n)是关于n的指数函数,累加后可转化为等比数列求和;④若f(n)是关于n的分式函数,累加后可裂项求和。例3.已知数列}{na中,0na且)(21nnnanaS,求数列}{na的通项公式.解:由已知)(21nnnanaS得)(2111nnnnnSSnSSS,化简有nSSnn212,由类型(1)有nSSn32212,实用标准文案文档又11aS得11a,所以2)1(2nnSn,又0na2)1(2nnsn,,则2)1(2)1(2nnnnan此题也可以用数学归纳法来求解.二、累乘法1.适用于:1()nnafna----------这是广义的等比数列累乘法是最基本的二个方法之二。2.若1()nnafna,则31212(1)(2)()nnaaafffnaaa,,,两边分别相乘得,1111()nnkaafka例4已知数列{}na满足112(1)53nnnanaa,,求数列{}na的通项公式。解:因为112(1)53nnnanaa,,所以0na,则12(1)5nnnana,故1321122112211(1)(2)21(1)12[2(11)5][2(21)5][2(21)5][2(11)5]32[(1)32]53325!nnnnnnnnnnnnnaaaaaaaaaannnnn所以数列{}na的通项公式为(1)12325!.nnnnan例5.设na是首项为1的正项数列,且011221nnnnaanaan(n=1,2,3,⋯),则它的通项公式是na=________.实用标准文案文档解:已知等式可化为:0)1()(11nnnnnaanaa0na(*Nn)(n+1)01nnnaa,即11nnaann2n时,nnaann11112211aaaaaaaannnnn=121121nnnn=n1.评注:本题是关于na和1na的二次齐次式,可以通过因式分解(一般情况时用求根公式)得到na与1na的更为明显的关系式,从而求出na.练习.已知1,111annaann,求数列{an}的通项公式.答案:na)1()!1(1an-1.评注:本题解题的关键是把原来的递推关系式,11nnaann转化为),1(11nnana若令1nnab,则问题进一步转化为nnnbb1形式,进而应用累乘法求出数列的通项公式.三、待定系数法适用于1()nnaqafn基本思路是转化为等差数列或等比数列,而数列的本质是一个函数,其定义域是自然数集的一个函数。1.形如0(,1cdcaann,其中aa1)型(1)若c=1时,数列{na}为等差数列;(2)若d=0时,数列{...

1、当您付费下载文档后,您只拥有了使用权限,并不意味着购买了版权,文档只能用于自身使用,不得用于其他商业用途(如 [转卖]进行直接盈利或[编辑后售卖]进行间接盈利)。
2、本站所有内容均由合作方或网友上传,本站不对文档的完整性、权威性及其观点立场正确性做任何保证或承诺!文档内容仅供研究参考,付费前请自行鉴别。
3、如文档内容存在违规,或者侵犯商业秘密、侵犯著作权等,请点击“违规举报”。

碎片内容

求数列通项公式地11种方法

您可能关注的文档

文库响当当+ 关注
实名认证
内容提供者

该用户很懒,什么也没介绍

相关文档

确认删除?
VIP
微信客服
  • 扫码咨询
会员Q群
  • 会员专属群点击这里加入QQ群
客服邮箱
回到顶部