电脑桌面
添加小米粒文库到电脑桌面
安装后可以在桌面快捷访问

复数-(2)VIP专享VIP免费

复数-(2)_第1页
1/8
复数-(2)_第2页
2/8
复数-(2)_第3页
3/8
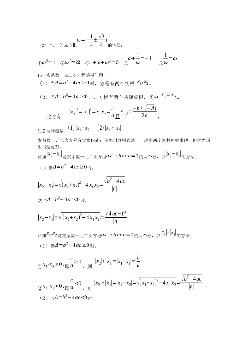
复数一、知识点梳理:1、i的周期性:i4=1,所以,i4n+1=i,i4n+2=-1,i4n+3=-i,i4n=1奎屯王新敞新疆2、复数的代数形式:,叫实部,叫虚部,实部和虚部都是实数。叫做复数集。NZQRC.3、复数相等:;4、复数的分类:虚数不能比较大小,只有等与不等。即使是也没有大小。5、复数的模:若向量表示复数z,则称的模r为复数z的模,;积或商的模可利用模的性质(1),(2)6、复数的几何意义:复数复平面内的点,7、复平面:这个建立了直角坐标系来表示复数的坐标平面叫做复平面,其中x轴叫做实轴,y轴叫做虚轴奎屯王新敞新疆,实轴上的点都表示实数;除了原点外,虚轴上的点都表示纯虚数8、复数代数形式的加减运算复数z1与z2的和:z1+z2=(a+bi)+(c+di)=(a+c)+(b+d)i.复数z1与z2的差:z1-z2=(a+bi)-(c+di)=(a-c)+(b-d)i.复数的加法运算满足交换律和结合律数加法的几何意义:复数z1=a+bi,z2=c+di;⃗OZ=⃗OZ1+⃗OZ2=(a,b)+(c,d)=(a+c,b+d)=(a+c)+(b+d)i复数减法的几何意义:复数z1-z2的差(a-c)+(b-d)i对应奎屯王新敞新疆由于,两个复数的差z-z1与连接这两个向量终点并指向被减数的向量对应.9.特别地,zB-zA.,为两点间的距离。z对应的点的轨迹是线段的垂直平分线;,z对应的点的轨迹是一个圆;,z对应的点的轨迹是一个椭圆;,z对应的点的轨迹是双曲线。10、显然有公式:11、复数的乘除法运算:复数的乘法:z1z2=(a+bi)(c+di)=(ac-bd)+(bc+ad)i.复数的乘法运算满足交换律、结合律和分配律。实数集R中正整数指数的运算律,在复数集C中仍然成立.即对z1,z2,z3∈C及m,n∈N*有:zmzn=zm+n,(zm)n=zmn,(z1z2)n=z1nz2n.复数的除法:(a+bi)¿(c+di)=a+bic+di=,分母实数化是常规方法12、共轭复数:若两个复数的实部相等,而虚部是互为相反数时,这两个复数叫互为共轭复数;特别地,虚部不为0的两个共轭复数也叫做共轭虚数;,两共轭复数所对应的点或向量关于实轴对称。,13、熟记常用算式:,(1+i)2=2i,(1−i)2=−2i,1+i1−i=i,1−i1+i=−i14、复数的代数式运算技巧:(1)①(1+i)2=2i②(1−i)2=−2i③1+i1−i=i④1−i1+i=−i(2)“1”的立方根ω=−12±√32i的性质:①ω3=1②ω2=ω③1+ω+ω2=0④ω+1ω=−1⑤1ω=ω15、实系数一元二次方程的根问题:(1)当Δ=b2−4ac≥0时,方程有两个实根x1,x2。(2)当Δ=b2−4ac<0时,方程有两个共轭虚根,其中x1=x2。此时有|x1|2=|x2|2=x1x2=ca且x1,2=−b±√−Δi2a。注意两种题型:(1)|x1−x2|(2)|x1|+|x2|虚系数一元二次方程有实根问题:不能用判别式法,一般用两个复数相等求解。但仍然适用韦达定理。已知|x2−x1|是实系数一元二次方程ax2+bx+c=0的两个根,求|x2−x1|的方法:(1)当Δ=b2−4ac≥0时,|x2−x1|=√(x1+x2)2−4x1x2=√b2−4ac|a|(2)当Δ=b2−4ac<0时,|x2−x1|=√|(x1+x2)2−4x1x2|=√4ac−b2|a|已知x1,x2是实系数一元二次方程ax2+bx+c=0的两个根,求|x2|+|x1|的方法:(1)当Δ=b2−4ac≥0时,①x1⋅x2≥0,即ca≥0,则|x2|+|x1|=|x1+x2|=|ba|②x1⋅x2<0,即ca<0,则|x2|+|x1|=|x1−x2|=√(x1+x2)2−4x1x2=√b2−4ac|a|(2)当Δ=b2−4ac<0时,|x2|+|x1|=2|x1|=2√x1⋅x2=2√ca二、典例分析:例1.(1)复数等于()A.1-iB.1+iC.-1+iD.-1-i解析:复数=,选C.(2)若复数z同时满足z-z−=2i,z−=iz(i为虚数单位),则z=.解:已知;(3)设a、b、c、d∈R,则复数(a+bi)(c+di)为实数的充要条件是A.ad-bc=0B.ac-bd=0C.ac+bd=0D.ad+bc=0解析:(1)复数=为实数,∴,选D;(4)已知()(A)1+2i(B)1-2i(C)2+i(D)2-i解析:m1+i=1−ni⇒m=(1+n)+(1−n)i,由m、n是实数,得{1−n=0¿¿¿¿,∴{n=1¿¿¿¿,故选择C。(5)设为实数,且,则。解析:,而所以,解得x=-1,y=5,所以x+y=4。点评:本题考查复数的运算及性质,基础题。例2:(1)计算:−2√3+i1+2√3i+(√21−i)1996答案:−1+i(2)设复数z满足关系z+|z|=2+i,求z;解:设z=a+bi(a,b为实数),由已知可得a+bi+√a2+b2=2+i由复数相等可得:{a+√a2+b2=2¿¿¿¿,解得a=34,b=1,所以z=34+i设z=a+bi-x+yi(a,b为实数)复数问题实数化。(3)若x∈C,解方程|x...

1、当您付费下载文档后,您只拥有了使用权限,并不意味着购买了版权,文档只能用于自身使用,不得用于其他商业用途(如 [转卖]进行直接盈利或[编辑后售卖]进行间接盈利)。
2、本站所有内容均由合作方或网友上传,本站不对文档的完整性、权威性及其观点立场正确性做任何保证或承诺!文档内容仅供研究参考,付费前请自行鉴别。
3、如文档内容存在违规,或者侵犯商业秘密、侵犯著作权等,请点击“违规举报”。

碎片内容

您可能关注的文档

确认删除?
VIP
微信客服
  • 扫码咨询
会员Q群
  • 会员专属群点击这里加入QQ群
客服邮箱
回到顶部