电脑桌面
添加小米粒文库到电脑桌面
安装后可以在桌面快捷访问

《有理数的乘方》作业VIP免费

《有理数的乘方》作业_第1页
1/2
《有理数的乘方》作业_第2页
2/2
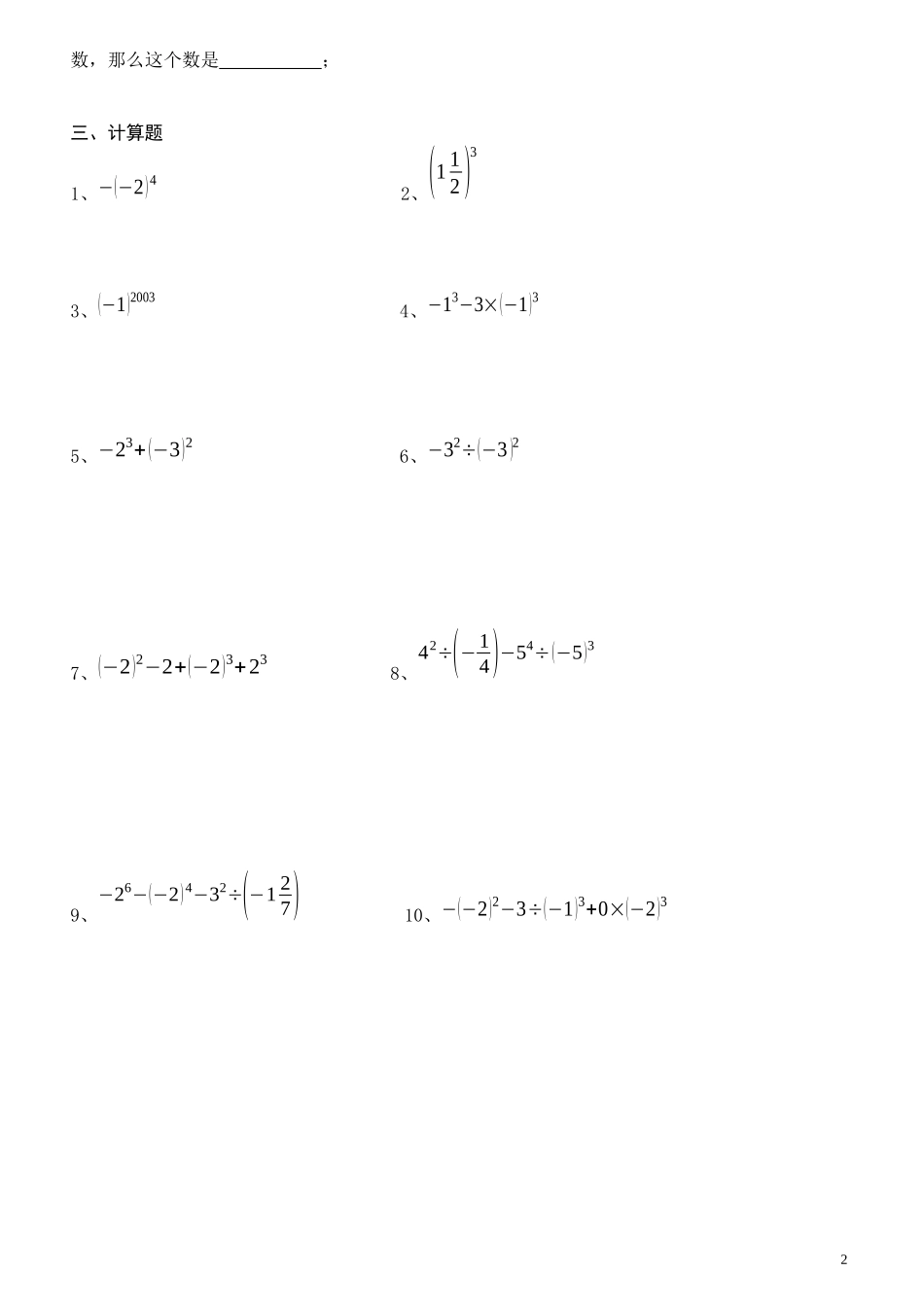
《有理数的乘方》作业一、选择题1、118表示()A、11个8连乘B、11乘以8C、8个11连乘D、8个别1相加2、-32的值是()A、-9B、9C、-6D、63、下列各对数中,数值相等的是()A、-32与-23B、-23与(-2)3C、-32与(-3)2D、(-3×2)2与-3×224、下列说法中正确的是()A、23表示2×3的积B、任何一个有理数的偶次幂是正数C、-32与(-3)2互为相反数D、一个数的平方是49,这个数一定是235、下列各式运算结果为正数的是()A、-24×5B、(1-2)×5C、(1-24)×5D、1-(3×5)66、如果一个有理数的平方等于(-2)2,那么这个有理数等于()A、-2B、2C、4D、2或-27、一个数的立方是它本身,那么这个数是()A、0B、0或1C、-1或1D、0或1或-18、-24×(-22)×(-2)3=()A、29B、-29C、-224D、2249、一个有理数的平方是正数,则这个数的立方是()A、正数B、负数C、正数或负数D、奇数10、(-1)2001+(-1)2002÷|−1|+(-1)2003的值等于()A、0B、1C、-1D、2二、填空题1、(-2)6中指数为,底数为;4的底数是,指数是;(−32)5的底数是,指数是,结果是;2、根据幂的意义,(-3)4表示,-43表示;3、平方等于164的数是,立方等于164的数是;4、一个数的15次幂是负数,那么这个数的2003次幂是;5、平方等于它本身的数是,立方等于它本身的数是;6、(−34)3=,−(34)3=,−334=;7、(−2⋅7)3,(−2⋅7)4,572的大小关系用“<”号连接可表示为;8、如果|a4|=−|a4|,那么a是;9、(1−2)(2−3)(3−4)⋯(2001−2002)=;10、如果一个数的平方是它的相反数,那么这个数是;如果一个数的平方是它的倒1数,那么这个数是;三、计算题1、−(−2)42、(112)33、(−1)20034、−13−3×(−1)35、−23+(−3)26、−32÷(−3)27、(−2)2−2+(−2)3+238、42÷(−14)−54÷(−5)39、−26−(−2)4−32÷(−127)10、−(−2)2−3÷(−1)3+0×(−2)32

1、当您付费下载文档后,您只拥有了使用权限,并不意味着购买了版权,文档只能用于自身使用,不得用于其他商业用途(如 [转卖]进行直接盈利或[编辑后售卖]进行间接盈利)。
2、本站所有内容均由合作方或网友上传,本站不对文档的完整性、权威性及其观点立场正确性做任何保证或承诺!文档内容仅供研究参考,付费前请自行鉴别。
3、如文档内容存在违规,或者侵犯商业秘密、侵犯著作权等,请点击“违规举报”。

碎片内容

《有理数的乘方》作业

您可能关注的文档

确认删除?
VIP
微信客服
  • 扫码咨询
会员Q群
  • 会员专属群点击这里加入QQ群
客服邮箱
回到顶部