电脑桌面
添加小米粒文库到电脑桌面
安装后可以在桌面快捷访问

分式的混合运算导学案VIP免费

分式的混合运算导学案_第1页
1/2
分式的混合运算导学案_第2页
2/2
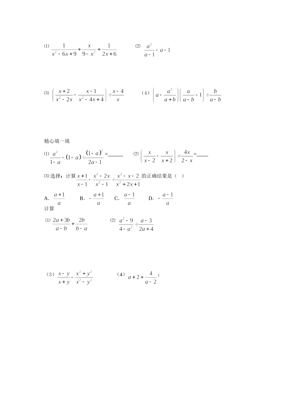
分式的混合运算导学案姓名:时间:学习目标:明确分式混合运算的顺序,熟练地进行分式的混合运算.学习重点:熟练地进行分式的混合运算.学习难点:熟练地进行分式的混合运算.学习过程一、预习新知:(1)说出有理数混合运算的顺序.(2)分式的混合运算与有理数的混合运算顺序相同进行分式混合运算时,要注意运算顺序,在没有括号的情况下,按从左到右的方向,先乘方,再乘除,然后加减.有括号要按先取小括号,再取中括号,最后取大括号的顺序.混合运算后的结果分子、分母要进行约分,注意最后的结果要是最简分式或整式.分子或分母的系数是负数时,要把“-”号提到分式本身的前面.试一试:计算:(1)(2)分析:这两道题是分式的混合运算,要注意运算顺序,式与数有相同的混合运算顺序:先乘方,再乘除,然后加减,最后结果分子、分母要进行约分,注意运算的结果要是最简分式.(3)探究此题怎样计算:⑷二、课堂展示:计算(1)[分析]这道题先做括号里的减法,再把除法转化成乘法,把分母的“-”号提到分式本身的前边).(2)(3)[分析]这道题先做乘除,再做减法。[分析]先乘方再乘除,然后加减。随堂自测计算:⑴⑵⑶(4)精心填一填⑴=⑵=⑶选择:计算的正确结果是()A.B.C.D.计算⑴⑵(3)(4);

1、当您付费下载文档后,您只拥有了使用权限,并不意味着购买了版权,文档只能用于自身使用,不得用于其他商业用途(如 [转卖]进行直接盈利或[编辑后售卖]进行间接盈利)。
2、本站所有内容均由合作方或网友上传,本站不对文档的完整性、权威性及其观点立场正确性做任何保证或承诺!文档内容仅供研究参考,付费前请自行鉴别。
3、如文档内容存在违规,或者侵犯商业秘密、侵犯著作权等,请点击“违规举报”。

碎片内容

分式的混合运算导学案

您可能关注的文档

中小学资料+ 关注
实名认证
内容提供者

精美课件,值得下载

相关文档

确认删除?
VIP
微信客服
  • 扫码咨询
会员Q群
  • 会员专属群点击这里加入QQ群
客服邮箱
回到顶部