电脑桌面
添加小米粒文库到电脑桌面
安装后可以在桌面快捷访问

福建省晋江首峰中学高中数学-第一章三角函数练习-新人教版必修4VIP免费

福建省晋江首峰中学高中数学-第一章三角函数练习-新人教版必修4_第1页
1/5
福建省晋江首峰中学高中数学-第一章三角函数练习-新人教版必修4_第2页
2/5
福建省晋江首峰中学高中数学-第一章三角函数练习-新人教版必修4_第3页
3/5
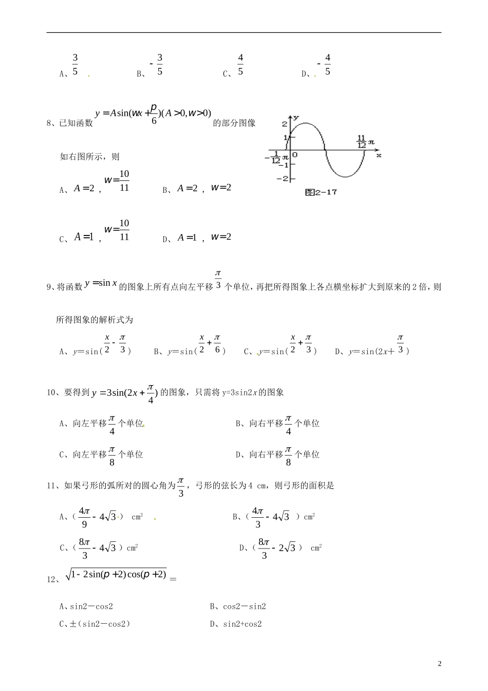
福建省晋江首峰中学数学必修三1、下列角中终边与330°相同的角是A、30°B、-30°C、630°D、-630°2、下列命题是真命题的是A、三角形的内角必是一、二象限角B、第一象限的角必是锐角C、不相等的角终边一定不相同D、{}{}000036090,18090,kkZkkZaaaa=·±Î==·+Î3、2205sinA、21B、21C、22D、224、已知4sin5a=,且a为第二象限角,那么tana=A、34B、-34C、43D、-435、600sin的值为A、21B、21C、23D、236、sin34·cos625·tan45的值是A、-43B、43C、-43D、437、若,2,53cos则2sin的值是1A、53B、53C、54D、548、已知函数sin()(0,0)6yAxApww=+>>的部分图像如右图所示,则A、2A=,1011w=B、2A=,2w=C、1A=,1011w=D、1A=,2w=9、将函数sinyx=的图象上所有点向左平移3个单位,再把所得图象上各点横坐标扩大到原来的2倍,则所得图象的解析式为A、y=sin(32x)B、y=sin(62x)C、y=sin(32x)D、y=sin(2x+3)10、要得到)42sin(3xy的图象,只需将y=3sin2x的图象A、向左平移4个单位B、向右平移4个单位C、向左平移8个单位D、向右平移8个单位11、如果弓形的弧所对的圆心角为,弓形的弦长为4cm,则弓形的面积是A、(344)cm2B、(344)cm2C、(348)cm2D、(328)cm212、12sin(2)cos(2)pp-++=A、sin2-cos2B、cos2-sin2C、±(sin2-cos2)D、sin2+cos2213、函数5sin(21)yx的最小正周期为。14、已知tan3a=-,则cossincossin。15、已知第二象限角终边上一点(3)Px,,且310sin10,则tan_____________。16、若()04cos1255a-=,则()0cos55a+=_____________________。17、在0360范围内,找出与下列各角终边相同的角,并判断它们是第几象限角?(1)120(2)640(3)9501218、比较下列各组中两个三角函数值大小:(1)014sin与0156sin(2)0115cos与0260cos(3)0194sin与0160cos19、求下列各式的值:(1)5π9πcos4πsincos5πtan24+--;(2)22ππ1π4tancossincosπ4326。320、化简:(1)化简:222cos(4)cos()sin(3)sin(4)sin(5)cos()qpqpqpqppqqp+++-+--;(2)已知29cossin4cossin3,求tan的值。21、已知函数1()2cos()23fxxp=-。(1)求2()3fp-;4(2)求函数()fx的最大值及取得最大值时自变量x的值;(3)求函数()fx的单调递增区间。22、已知函数()sin()(0,0,)2fxAxApwjwj=+>><的部分图象如下图。(1)求函数()fx的解析式;(2)求函数()fx的对称轴方程及对称中心坐标;(3)解不等式:1()3fx-£<。5

1、当您付费下载文档后,您只拥有了使用权限,并不意味着购买了版权,文档只能用于自身使用,不得用于其他商业用途(如 [转卖]进行直接盈利或[编辑后售卖]进行间接盈利)。
2、本站所有内容均由合作方或网友上传,本站不对文档的完整性、权威性及其观点立场正确性做任何保证或承诺!文档内容仅供研究参考,付费前请自行鉴别。
3、如文档内容存在违规,或者侵犯商业秘密、侵犯著作权等,请点击“违规举报”。

碎片内容

福建省晋江首峰中学高中数学-第一章三角函数练习-新人教版必修4

您可能关注的文档

中小学资料+ 关注
实名认证
内容提供者

精美课件,值得下载

确认删除?
VIP
微信客服
  • 扫码咨询
会员Q群
  • 会员专属群点击这里加入QQ群
客服邮箱
回到顶部