电脑桌面
添加小米粒文库到电脑桌面
安装后可以在桌面快捷访问

七年级上学期数学计算题练习VIP免费

七年级上学期数学计算题练习_第1页
1/12
七年级上学期数学计算题练习_第2页
2/12
七年级上学期数学计算题练习_第3页
3/12
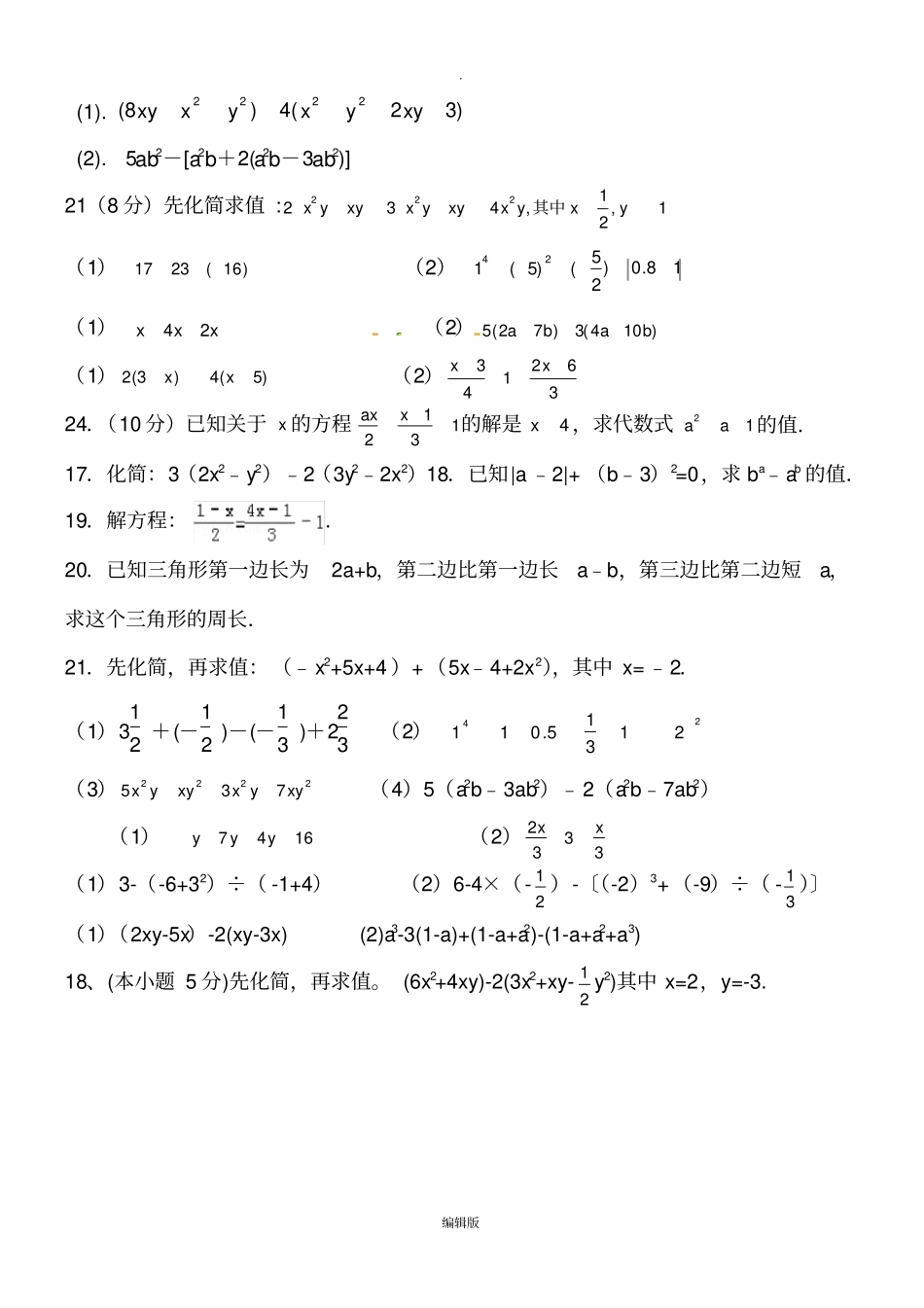
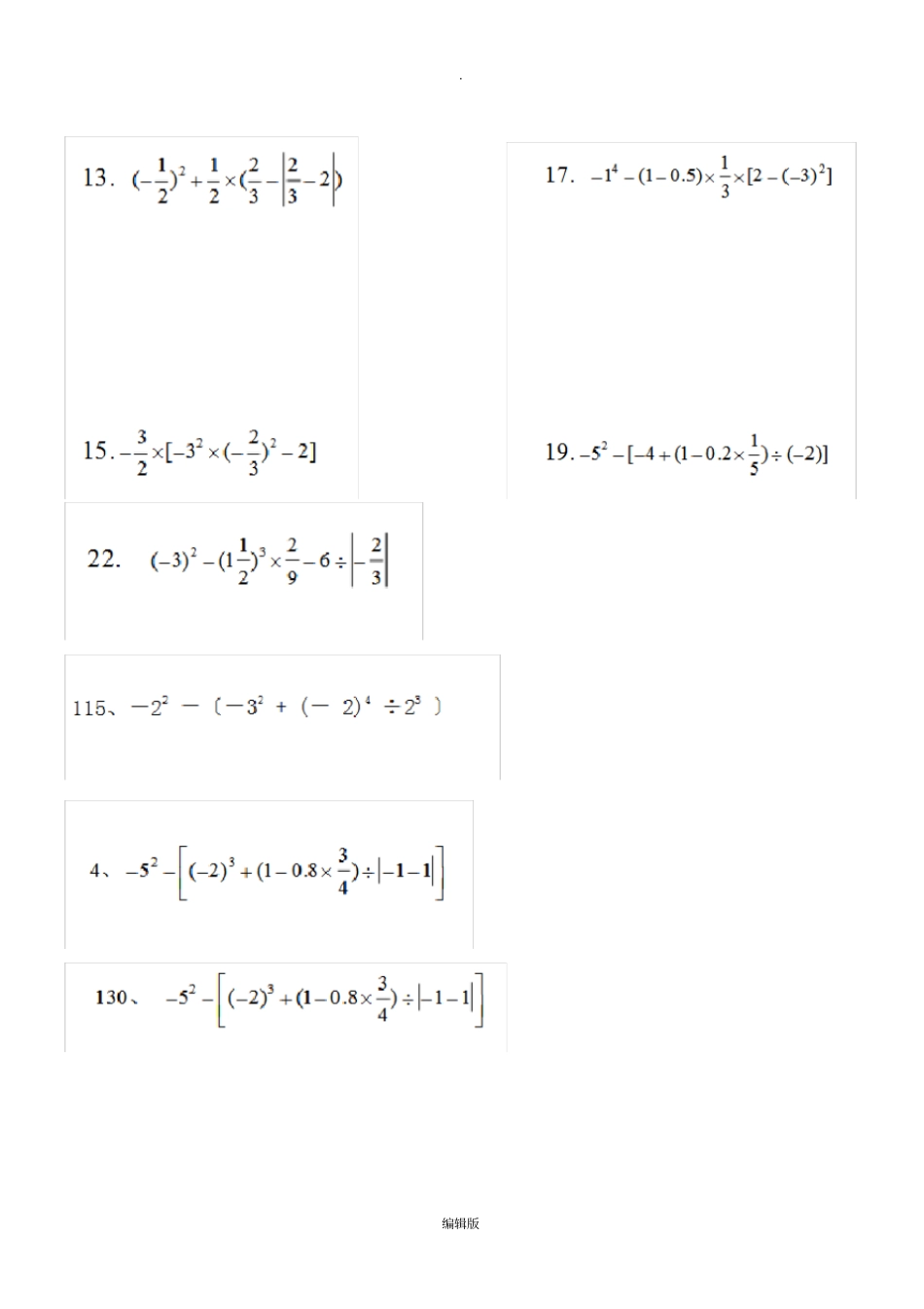
.编辑版17.计算:(1)(-5)×2+20÷(-4)(2)-32-[-5+(10-0.6÷53)÷(-3)2]18.解方程:(1)7x-8=5x+4(2)16323221bbb19.先化简,后求值:2(x2y+xy)-3(x2y-xy)-4x2y,其中x=1,y=-120.若a、b互为相反数,c、d互为倒数,m的绝对值是3,n在有理数王国里既不是正数也不是负数,求)()()(201322012dcbancdmmba的值17.(16分)计算:(1)-17-(-23)+(-13)-(+23)(2)12)1216143((3)220122013)2()41(4(4)21(14)2×35÷(21)3.18.计算(8分)(1)(2a-1)+2(1-a);(2)3(3x+2)-2(3+x).19.(6分)解方程:(1)13)12(3xx(2)231221xx20.(6分)先化简.再求值.-2(ab-a2)-3ab-1+(6ab-2a2),其中a=1,b=-1.19.15218()26320.2232)(21.431(1)(1)3(22)222.744xx四.解下列方程(每题5分,共15分).23.5x324.5476xx25.212132xx五.先化简,再求值(本题6分)26.222225(3)(3)2ababababab,其中21a,3b.19计算(1).5)4()16(12(2).2111941836(4).4211(10.5)2(3)39221441254.编辑版(1).)32(4)8(2222xyyxyxxy(2).5ab2-[a2b+2(a2b-3ab2)]21(8分)先化简求值:2221234,,12xyxyxyxyxyxy其中(1))16(2317(2)18.0)25()5(124(1)xxx24(2))104(3)72(5baba(1))5(4)3(2xx(2)362143xx24.(10分)已知关于x的方程1312xax的解是4x,求代数式12aa的值.17.化简:3(2x2﹣y2)﹣2(3y2﹣2x2)18.已知|a﹣2|+(b﹣3)2=0,求ba﹣ab的值.19.解方程:.20.已知三角形第一边长为2a+b,第二边比第一边长a﹣b,第三边比第二边短a,求这个三角形的周长.21.先化简,再求值:(﹣x2+5x+4)+(5x﹣4+2x2),其中x=﹣2.(1)312+(-12)-(-13)+223(2)2421315.011(3)2222735xyyxxyyx(4)5(a2b﹣3ab2)﹣2(a2b﹣7ab2)(1)1647yyy(2)3332xx(1)3-(-6+32)÷(-1+4)(2)6-4×(-21)-〔(-2)3+(-9)÷(-31)〕(1)(2xy-5x)-2(xy-3x)(2)a3-3(1-a)+(1-a+a2)-(1-a+a2+a3)18、(本小题5分)先化简,再求值。(6x2+4xy)-2(3x2+xy-21y2)其中x=2,y=-3..编辑版.编辑版.编辑版.编辑版______________________________________________________________________________________10.25.2019.编辑版________________________________________________________________________________2019.10.28.编辑版.编辑版.编辑版.编辑版.编辑版

1、当您付费下载文档后,您只拥有了使用权限,并不意味着购买了版权,文档只能用于自身使用,不得用于其他商业用途(如 [转卖]进行直接盈利或[编辑后售卖]进行间接盈利)。
2、本站所有内容均由合作方或网友上传,本站不对文档的完整性、权威性及其观点立场正确性做任何保证或承诺!文档内容仅供研究参考,付费前请自行鉴别。
3、如文档内容存在违规,或者侵犯商业秘密、侵犯著作权等,请点击“违规举报”。

碎片内容

七年级上学期数学计算题练习

您可能关注的文档

确认删除?
VIP
微信客服
  • 扫码咨询
会员Q群
  • 会员专属群点击这里加入QQ群
客服邮箱
回到顶部