电脑桌面
添加小米粒文库到电脑桌面
安装后可以在桌面快捷访问

七年级下册数学计算题汇总VIP免费

七年级下册数学计算题汇总_第1页
1/9
七年级下册数学计算题汇总_第2页
2/9
七年级下册数学计算题汇总_第3页
3/9
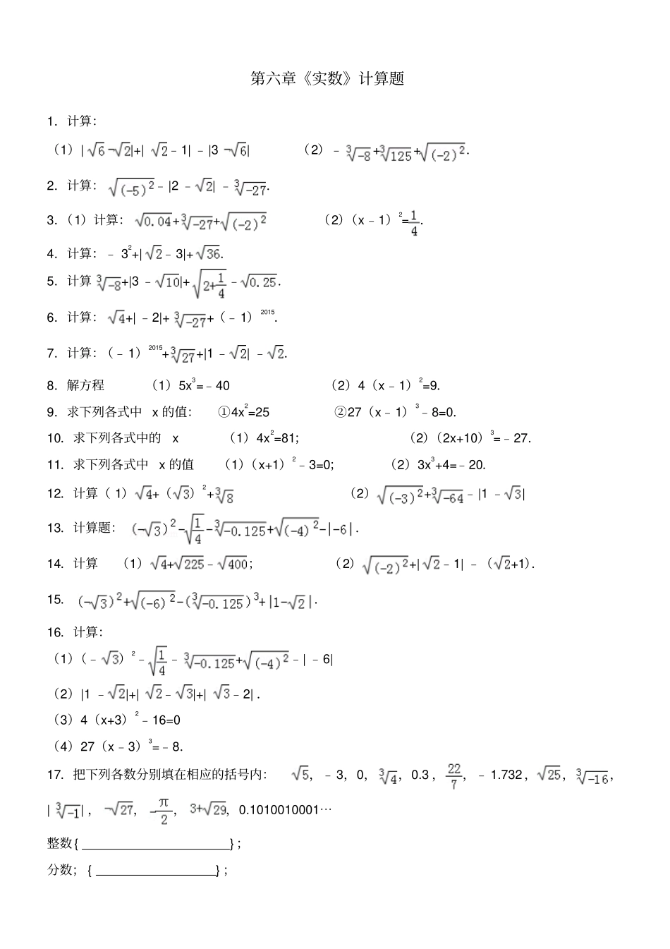
第六章《实数》计算题1.计算:(1)||+|﹣1|﹣|3|(2)﹣++.2.计算:﹣|2﹣|﹣.3.(1)计算:++(2)(x﹣1)2=.4.计算:﹣32+|﹣3|+.5.计算+|3﹣|+﹣.6.计算:+|﹣2|++(﹣1)2015.7.计算:(﹣1)2015++|1﹣|﹣.8.解方程(1)5x3=﹣40(2)4(x﹣1)2=9.9.求下列各式中x的值:①4x2=25②27(x﹣1)3﹣8=0.10.求下列各式中的x(1)4x2=81;(2)(2x+10)3=﹣27.11.求下列各式中x的值(1)(x+1)2﹣3=0;(2)3x3+4=﹣20.12.计算(1)+()2+(2)+﹣|1﹣|13.计算题:.14.计算(1)+﹣;(2)+|﹣1|﹣(+1).15..16.计算:(1)(﹣)2﹣﹣+﹣|﹣6|(2)|1﹣|+|﹣|+|﹣2|.(3)4(x+3)2﹣16=0(4)27(x﹣3)3=﹣8.17.把下列各数分别填在相应的括号内:,﹣3,0,,0.3,,﹣1.732,,,||,,,,0.1010010001⋯整数{};分数;{};正数{};负数{};有理数{};无理数{}.18.将下列各数填入相应的集合内.﹣7,0.32,,0,,,,π,0.1010010001⋯①有理数集合{⋯}②无理数集合{⋯}③负实数集合{⋯}.19.把下列各数按要求填入相应的大括号里:﹣10,4.5,﹣,0,﹣(﹣3),2.10010001⋯,42,﹣2π,整数集合:{};分数集合:{};自然数集合:{};正有理数集合:{}.20.把下列各数分别填入相应的大括号﹣5,|﹣|,0,﹣3.14,,﹣12,0.1010010001⋯,+1.5,﹣30%,﹣(﹣6),﹣正有理数集合:{⋯}非正整数集合:{⋯}负分数集合:{⋯}无理数集合:{⋯}.21.将下列各数填入相应的集合中.﹣7,0,,﹣22,﹣2.55555⋯,3.01,+9,4.020020002⋯,+10%,﹣2π.无理数集合:{};负有理数集合:{};正分数集合:{};非负整数集合:{}.22.把下列各数分别填在相应的集合里:﹣1,,0.3,0,﹣1.7,21,﹣2,1.01001,+6,π(1)整数集合{⋯}(2)正分数集合{⋯}(3)无理数集合{⋯}.第八章《二元一次方程组》计算题1.解方程组:.2.解方程组.3.用指定的方法解下列方程组:(1)(代入法)(2)(加减法)4.计算:(1)计算:+﹣|1﹣|;(2)解方程组.5.解下列方程组:(1)(2).6.(1)计算:﹣|﹣|++(2)解方程组:.7.解方程组.8.解方程组:9.解方程组.10.解方程组.11.解方程组:.12.解方程组:(1)(2)(用加减法解).13.解方程组:(1)(2).14.解方程(组):(1)2﹣=(2).15.解方程组:.16.解方程组:.17.用适当方法解下列方程组.(1)(2).18.解方程组:(1)(2).19.解方程组(1)(2).20.解下列方程组(1)(2).21.解下列方程组:(1)(2).22.解方程组(1);(2).23.(1)(2).24..25.解下列方程组(1)(2).第九章《一元一次不等式》计算题1.解下列不等式,并把它的解集在数轴上表示出来.4﹣2(x﹣3)≥4(x+1)2.解不等式,并把解集在数轴上表示出来:2(x+1)>x.3.解不等式﹣1≤,并把解集在数轴上表示出来.4.解不等式组:.5.解不等式组,并把解集在数轴上表示出来.6.解不等式组:.7.解不等式组:.8.解不等式组并将解集在数轴上表示出来.9.解不等式组:,并把它的解集在数轴上表示出来.10.解不等式组:并在数轴上表示解集.11.解不等式组:12.解不等式组:.13.解不等式组:.14.解不等式组:.15.解不等式≥4,并将其解集在数轴上表示出来.16.解不等式﹣≥﹣1(把解集在数轴上表示出来)17.解不等式:x﹣<2x+.18.解不等式组并把其解集在数轴上表示出来.19.解不等式组:.20.解不等式组,并在数轴上将解集表示出来.21.(1)解不等式:<x+2;(2)解不等式组:.22.(1)计算(2)解方程组(3)解不等式组并把它的解集在数轴上表示出来.23.求不等式组的所有整数解.24.解不等式2x﹣7<5﹣2x.25.解不等式:>1﹣.26.解不等式5x+15>0,并将解集在数轴上表示出来.27.解不等式,并把解集表示在数轴上..28.求不等式2x﹣3≥x的解集.29.解下列不等式(组),并把解集表示在数轴上.(1)(2).30.解下列不等式组,并把不等式组的解集表示在数轴上(1).(2).31.解下列不等式(组):(1)≥﹣1;(2)...

1、当您付费下载文档后,您只拥有了使用权限,并不意味着购买了版权,文档只能用于自身使用,不得用于其他商业用途(如 [转卖]进行直接盈利或[编辑后售卖]进行间接盈利)。
2、本站所有内容均由合作方或网友上传,本站不对文档的完整性、权威性及其观点立场正确性做任何保证或承诺!文档内容仅供研究参考,付费前请自行鉴别。
3、如文档内容存在违规,或者侵犯商业秘密、侵犯著作权等,请点击“违规举报”。

碎片内容

七年级下册数学计算题汇总

您可能关注的文档

确认删除?
VIP
微信客服
  • 扫码咨询
会员Q群
  • 会员专属群点击这里加入QQ群
客服邮箱
回到顶部