电脑桌面
添加小米粒文库到电脑桌面
安装后可以在桌面快捷访问

七年级数学计算题专项练习448题附答案VIP免费

七年级数学计算题专项练习448题附答案_第1页
1/41
七年级数学计算题专项练习448题附答案_第2页
2/41
七年级数学计算题专项练习448题附答案_第3页
3/41
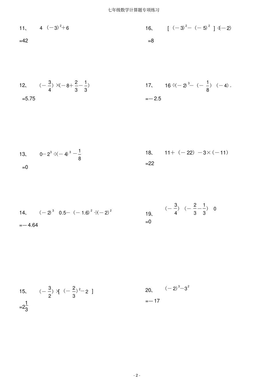
七年级数学计算题专项练习-1-1、618-÷)(-)(-312=172、)(-+51232=2153、)(-)(-49+)(-60÷12=314、100÷22)(--)(-2÷)(-32=225、23)(-×[)+(--9532]=—116、)(-)+(-2382=—107、)(-4÷)(-)(-343=—168、)(-31÷231)(--3214)(-=—2.59、36×23121)-(=110、12.7÷)(-1980=0七年级数学计算题专项练习-2-11、6342+)(-=4212、)(-43×)-+(-31328=5.7513、320-÷34)(-81-=014、236.15.02)-(-)(-÷22)(-=—4.6415、)(-23×[2322-)(-]=21316、[2253)-(-)(-]÷)(-2=817、16÷)(-)-(-)(-48123.=—2.518、11+(-22)-3×(-11)=2219、0313243)-(-)(-=020、2332-)(-=—17七年级数学计算题专项练习-3-21、(-9)+(-13)=—2222、(-12)+27=1523、(-28)+(-34)=—6224、67+(-92)=—2525、(-27.8)+43.9=16.126、(-23)+7+(-152)+65=—10327、|52+(-31)|=11528、38+(-22)+(+62)+(-78)=029、10、(-8)+(-10)+2+(-1)=—1730、(-32)+0+(+41)+(-61)+(-21)=-131231、(-8)+47+18+(-27)=3032、(-5)+21+(-95)+29=—5033、(-8.25)+8.25+(-0.25)+(-5.75)+(-7.5)=—13.534、6+(-7)+(-9)+2=—835、72+65+(-105)+(-28)=4七年级数学计算题专项练习-4-36、(-23)+|-63|+|-37|+(-77)=037、19+(-195)+47=—12938、18、(+18)+(-32)+(-16)+(+26)=—439、(-0.8)+(-1.2)+(-0.6)+(-2.4)=—540、(-8)+(-321)+2+(-21)+12=241、553+(-532)+452+(-31)=442、(-6.37)+(-343)+6.37+2.75=—143、(-25)-(-13)=—1244、8.2―(―6.3)=14.545、(-321)-541=—83446、(-12.5)-(-7.5)=—547、(-26)―(-12)―12―18=—4448、―1―(-21)―(+23)=—249、(-41)―(-85)―81=14七年级数学计算题专项练习-5-50、(-20)-(+5)-(-5)-(-12)=—851、(-23)―(-59)―(-3.5)=39.552、|-32|―(-12)―72―(-5)=—2353、(+103)―(-74)―(-52)―710=-117054、(-516)―3―(-3.2)―7=—1055、(+71)―(-72)―73=056、(-0.5)-(-341)+6.75-521=457、(+6.1)―(-4.3)―(-2.1)―5.1=7.458、(-32)―(-143)―(-132)―(+1.75)=159、(-332)―(-243)―(-132)―(-1.75)=2.560、-843-597+461-392=—1371261、-443+61+(-32)―25=—734七年级数学计算题专项练习-6-62、0.5+(-41)-(-2.75)+21=3.563、(-9)×32=—664、(-132)×(-0.26)=0.0465、(-2)×31×(-0.5)=3166、31×(-5)+31×(-13)=—667、(-4)×(-10)×0.5×(-3)=—6068、(-83)×34×(-1.8)=0.969、(-0.25)×(-74)×4×(-7)=—470、(-73)×(-54)×(-127)=—1571、(-8)×4×(-21)×(-0.75)=—1272、4×(-96)×(-0.25)×481=2七年级数学计算题专项练习-7-73、(74-181+143)×56=—1974、(65―43―97)×36=—2575、(-43)×(8-34-0.4)=—4.776、(-66)×〔12221-(-31)+(-115)〕=—12177、25×43-(-25)×21+25×41=37.578、(-36)×(94+65-127)=—2579、(187+43-65+97)×72=7880、31×(2143-72)×(-58)×(-165)=92881、18÷(-3)=—682、(-24)÷6=—483、(-57)÷(-3)=1984、(-53)÷52七年级数学计算题专项练习-8-=—3285、(-42)÷(-6)=786、(+215)÷(-73)=—5987、(-139)÷9=—11388、0.25÷(-81)=—289、-36÷(-131)÷(-32)=—81290、(-1)÷(-4)÷74=71691、3÷(-76)×(-97)=491892、0÷[(-341)×(-7)]=093、3÷(31-41)=3694、(-2476)÷(-6)=41795、2÷(5-18)×181=—111796、131÷(-3)×(-31)=42797、-87×(-143)÷(-83)=—12七年级数学计算题专项练习-9-98、(43-87)÷(-65)=32099、(29-83+43)÷(-43)=—132100、-3.5×(61...

1、当您付费下载文档后,您只拥有了使用权限,并不意味着购买了版权,文档只能用于自身使用,不得用于其他商业用途(如 [转卖]进行直接盈利或[编辑后售卖]进行间接盈利)。
2、本站所有内容均由合作方或网友上传,本站不对文档的完整性、权威性及其观点立场正确性做任何保证或承诺!文档内容仅供研究参考,付费前请自行鉴别。
3、如文档内容存在违规,或者侵犯商业秘密、侵犯著作权等,请点击“违规举报”。

碎片内容

七年级数学计算题专项练习448题附答案

确认删除?
VIP
微信客服
  • 扫码咨询
会员Q群
  • 会员专属群点击这里加入QQ群
客服邮箱
回到顶部