电脑桌面
添加小米粒文库到电脑桌面
安装后可以在桌面快捷访问

整式的混合运算练VIP免费

整式的混合运算练_第1页
1/10
整式的混合运算练_第2页
2/10
整式的混合运算练_第3页
3/10
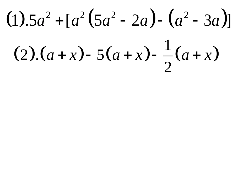
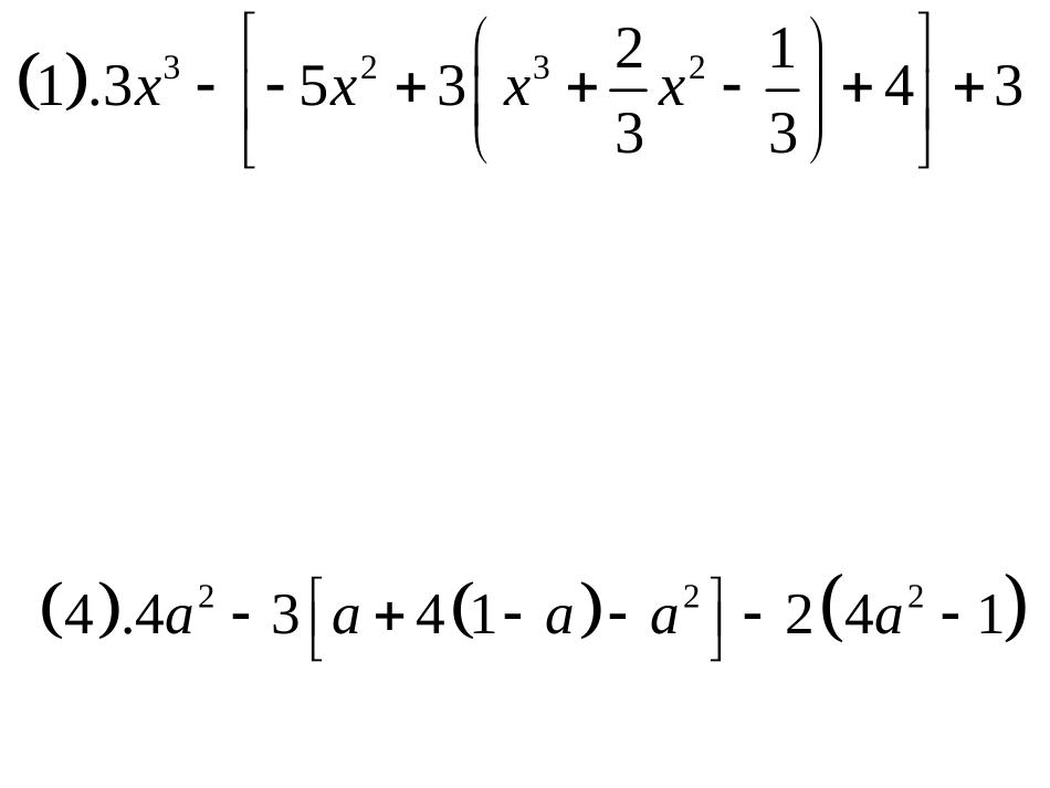
整式的混合运算练习题22221.5[523]aaaaaa12.52axaxax3232211.3534333xxxx2224.4341241aaaaa21.()xy22.(32)xy213.()2ab24.(21)t215.(3)3abc2236.()32xy211.(1)2x(2)、(0.02x+0.1y)2二、利用完全平方公式计算:(1)1022(2)1972(3)982(4)2032221.(3)xx222.()yxy23.()xyxyxy4.(3)(3)(1)(4)aaaa221.(1)(1)xyxy22.(23)3(21)(4)aaa3.(3)(3)abab4.(2)(2)xyxy)3)(3(baba(1)2323xyzxyz(2)22)2(4xkxx(3)求k13aa221aa(4)已知求32236222()()()()xxxxx(1)22222(32)(32)(94)xyxyxy(2)(322)(322)mnmn(3)(1)(2)(3)(4)221(2)(2)(2)(2)()()nnxyyxxyxyxyxy2514xx212111xxx求.1234612344123452若4m2+n2-6n+4m+10=0,求nm

1、当您付费下载文档后,您只拥有了使用权限,并不意味着购买了版权,文档只能用于自身使用,不得用于其他商业用途(如 [转卖]进行直接盈利或[编辑后售卖]进行间接盈利)。
2、本站所有内容均由合作方或网友上传,本站不对文档的完整性、权威性及其观点立场正确性做任何保证或承诺!文档内容仅供研究参考,付费前请自行鉴别。
3、如文档内容存在违规,或者侵犯商业秘密、侵犯著作权等,请点击“违规举报”。

碎片内容

整式的混合运算练

您可能关注的文档

精品中小学文库+ 关注
实名认证
内容提供者

精品资料,应有尽有

相关文档

确认删除?
VIP
微信客服
  • 扫码咨询
会员Q群
  • 会员专属群点击这里加入QQ群
客服邮箱
回到顶部