电脑桌面
添加小米粒文库到电脑桌面
安装后可以在桌面快捷访问

南宁市中考数学第19题实数的运算VIP专享VIP免费

南宁市中考数学第19题实数的运算_第1页
1/3
南宁市中考数学第19题实数的运算_第2页
2/3
南宁市中考数学第19题实数的运算_第3页
3/3
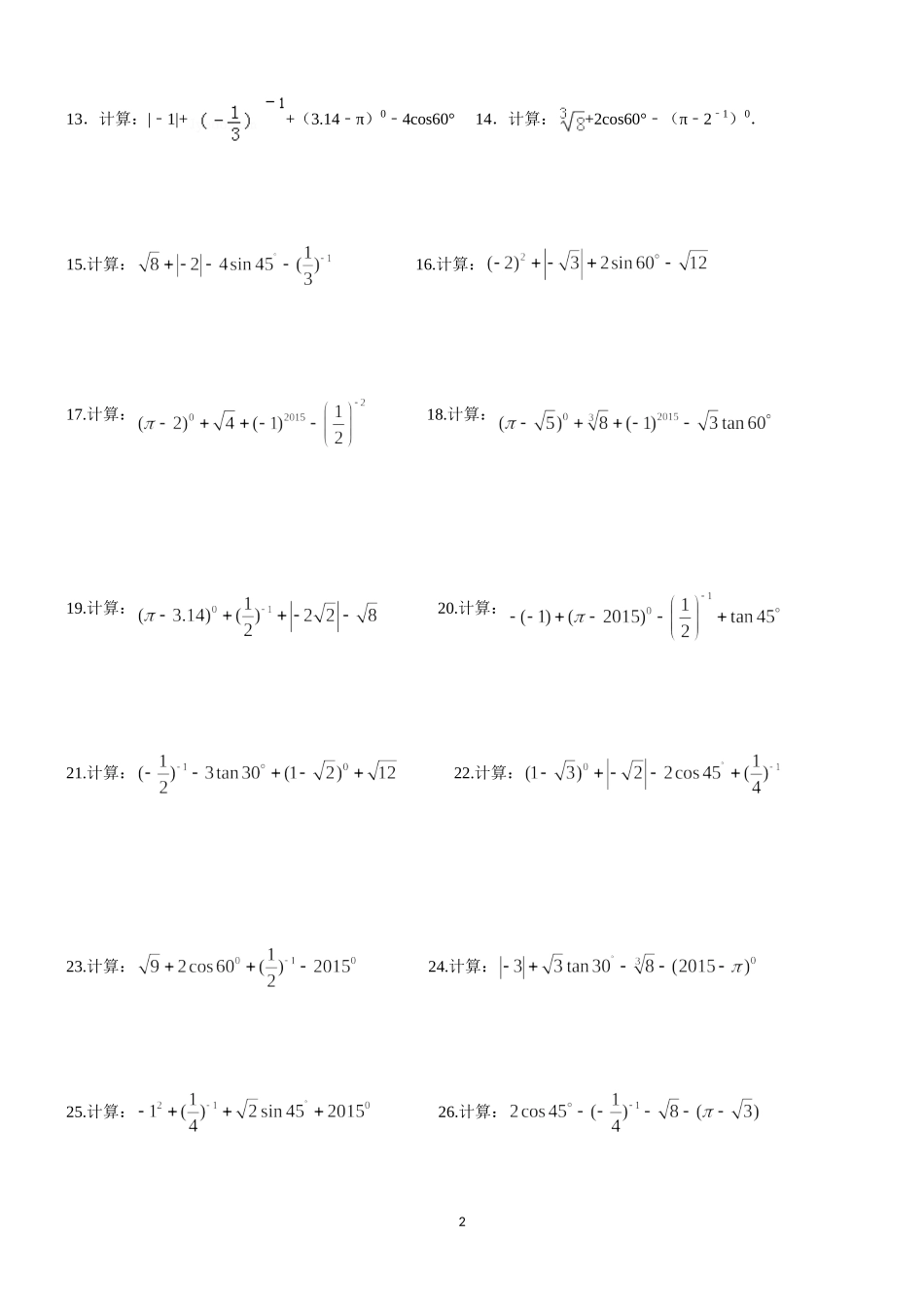
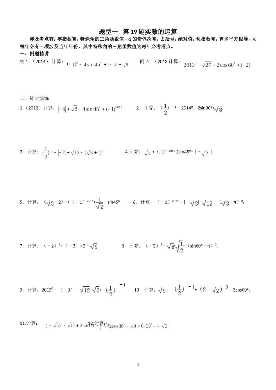
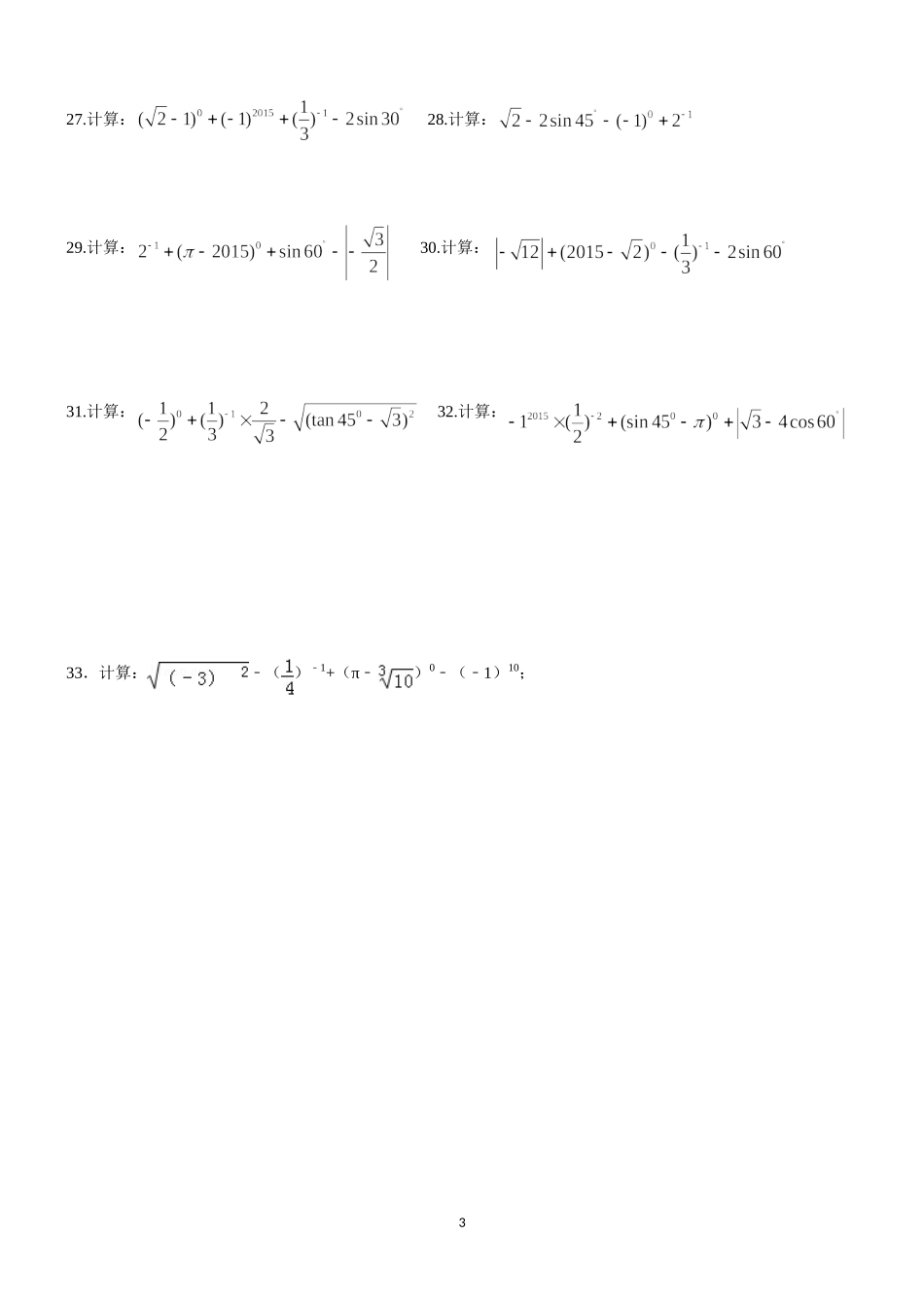
题型一第19题实数的运算涉及考点有:零指数幂,特殊角的三角函数值,-1的奇偶次幂,去括号,绝对值,负指数幂,算术平方根等,且每年必有一项涉及当年年份,其中特殊角的三角函数值为每年必考考点。一、例题精讲例1:(2014)计算:例2:(2013计算:二、针对演练1.(2012)计算:2.计算:()﹣12014﹣02sin30°+﹣.3.计算:4.计算:+(-1)2014-2sin45°+|-|5.计算:(﹣2)0+(﹣1)2014+﹣sin45°6.计算:(﹣1)2014|﹣﹣|+﹣(﹣π)0;7.计算:(﹣2)2+(﹣3)×2﹣8.计算:(﹣2)2﹣•+(sin60°π﹣)0.9.计算:20130﹣(﹣3)﹣++10.计算:﹣2cos60°;11.计算:12计算:113.计算:|1|+﹣+(3.14π﹣)04cos60°﹣14.计算:+2cos60°﹣(π2﹣1﹣)0.15.计算:16.计算:17.计算:18.计算:19.计算:20.计算:21.计算:22.计算:23.计算:24.计算:25.计算:26.计算:227.计算:28.计算:29.计算:30.计算:31.计算:32.计算:33.计算:﹣()﹣1+(π﹣)0﹣(﹣1)10;3

1、当您付费下载文档后,您只拥有了使用权限,并不意味着购买了版权,文档只能用于自身使用,不得用于其他商业用途(如 [转卖]进行直接盈利或[编辑后售卖]进行间接盈利)。
2、本站所有内容均由合作方或网友上传,本站不对文档的完整性、权威性及其观点立场正确性做任何保证或承诺!文档内容仅供研究参考,付费前请自行鉴别。
3、如文档内容存在违规,或者侵犯商业秘密、侵犯著作权等,请点击“违规举报”。

碎片内容

南宁市中考数学第19题实数的运算

您可能关注的文档

确认删除?
VIP
微信客服
  • 扫码咨询
会员Q群
  • 会员专属群点击这里加入QQ群
客服邮箱
回到顶部