电脑桌面
添加小米粒文库到电脑桌面
安装后可以在桌面快捷访问

一个平凡不等式的探究-不等式研究通讯2009年第2期VIP免费

一个平凡不等式的探究-不等式研究通讯2009年第2期_第1页
1/9
一个平凡不等式的探究-不等式研究通讯2009年第2期_第2页
2/9
一个平凡不等式的探究-不等式研究通讯2009年第2期_第3页
3/9
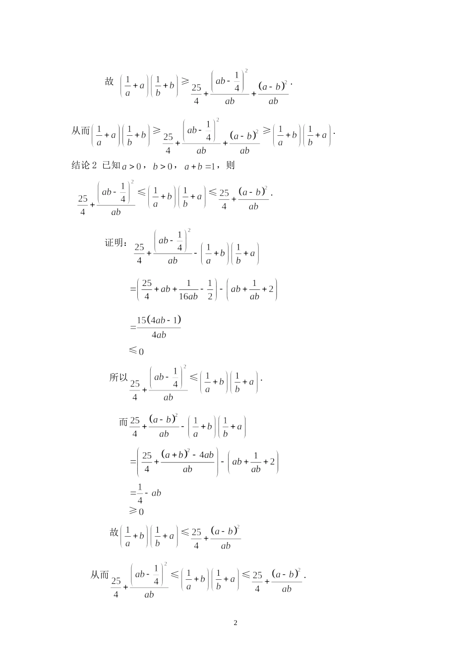
一个平凡不等式的再研究若,,,则由一个很平凡得不等式链:≥≥.本文给出它的若干隔离、加强与推广.1.几个隔离结论1已知,,,则≥≥.证明:由≤知≤.所以≥故≥.又≥.1故≥.从而≥≥.结论2已知,,,则≤≤.证明:≤所以≤.而≥故≤从而≤≤.22.一个类似已知,,,则结论3≤≤3一个推广结论4已知,,,≤≤,则≤≤≤证明:由,,及≤≤得≤≤与≥所以≥即≤而3≥即≤又≥即≤综上所述≤≤≤4三个数的类似不等式结论5已知,,,,则≥≥.结论6已知,,,,则(Ⅰ)≥4(Ⅱ)≥证明:由及知≤,且≥≥(Ⅰ)≥所以≥(Ⅱ)5≥所以≥结论7(结论5的推广)若为正数,且,≤,刘保乾给出(但没有证明):≥≥结论8(结论7的加强)若为正数,且,≤,则(Ⅰ)≥(Ⅱ)≥证明:由及知≥,≤,且≥(Ⅰ)6≥所以≥(Ⅱ)由于及(Ⅰ)所以≥5从数的个数与指数进行推广定理:已知,,,,且≤.则7(Ⅰ)≥(Ⅱ)≥引理设,为正整数.则≥再证明定理:由引理知,要证明(Ⅰ)(Ⅱ),只需证明≥设,则≤令(≤),由于≤所以≤即在上递减,从而≥因此≥于是得证.所以≥并且≥.89

1、当您付费下载文档后,您只拥有了使用权限,并不意味着购买了版权,文档只能用于自身使用,不得用于其他商业用途(如 [转卖]进行直接盈利或[编辑后售卖]进行间接盈利)。
2、本站所有内容均由合作方或网友上传,本站不对文档的完整性、权威性及其观点立场正确性做任何保证或承诺!文档内容仅供研究参考,付费前请自行鉴别。
3、如文档内容存在违规,或者侵犯商业秘密、侵犯著作权等,请点击“违规举报”。

碎片内容

一个平凡不等式的探究-不等式研究通讯2009年第2期

您可能关注的文档

精品中小学文档+ 关注
实名认证
内容提供者

精品资料,值得下载

确认删除?
VIP
微信客服
  • 扫码咨询
会员Q群
  • 会员专属群点击这里加入QQ群
客服邮箱
回到顶部