电脑桌面
添加小米粒文库到电脑桌面
安装后可以在桌面快捷访问

导数应用题(解析)VIP免费

导数应用题(解析)_第1页
1/4
导数应用题(解析)_第2页
2/4
导数应用题(解析)_第3页
3/4
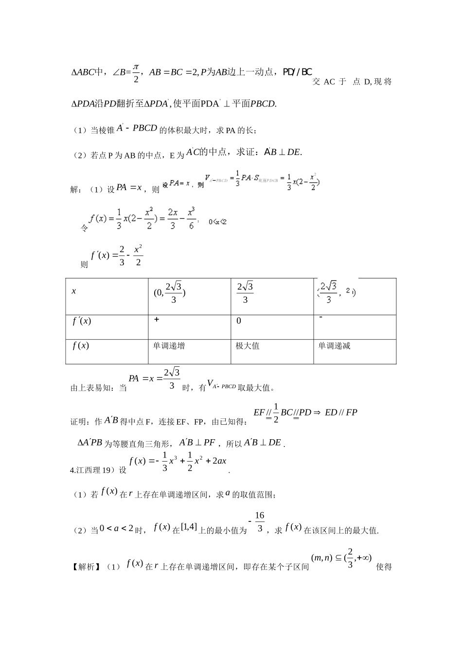
1.某企业拟建造如图所示的容器(不计厚度,长度单位:米),其中容器的中间为圆柱形,左右两端均为半球形,按照设计要求容器的体积为803立方米,且2lr≥.假设该容器的建造费用仅与其表面积有关.已知圆柱形部分每平方米建造费用为3千元,半球形部分每平方米建造费用为(3)cc>千元,设该容器的建造费用为y千元.(Ⅰ)写出y关于r的函数表达式,并求该函数的定义域;(Ⅱ)求该容器的建造费用最小时的r.解:(I)设容器的容积为V,由题意知23480,,33VrlrV又故322248044203()333Vrlrrrrr由于2lr因此02.r所以建造费用2224202342()34,3yrlrcrrrcr因此21604(2),02.ycrrr(II)由(I)得3221608(2)20'8(2)(),02.2cycrrrrrc由于3,20,cc所以当3320200,.22rrcc时令320,2mc则0m(1)当9022mc即时,当r=m时,y'=0;当r(0,m)时,y'<0;当r(m,2)时,y'>0.所以rm是函数y的极小值点,也是最小值点。(2)当2m即932c时,当(0,2),'0,ry时函数单调递减,所以r=2是函数y的最小值点,综上所述,当932c时,建造费用最小时2;r当92c时,建造费用最小时2.请你设计一个包装盒,如图所示,ABCD是边长为60cm的正方形硬纸片,切去阴影部分所示的四个全等的等腰直角三角形,再沿虚线折起,使得ABCD四个点重合于图中的点P,正好形成一个正四棱柱形状的包装盒,E、F在AB上是被切去的等腰直角三角形斜边的两个端点,设AE=FB=xcm(1)某广告商要求包装盒侧面积S(cm2)最大,试问x应取何值?(2)某广告商要求包装盒容积V(cm3)最大,试问x应取何值?并求出此时包装盒的高与底面边长的比值。P解:设馐盒的高为h(cm),底面边长为a(cm),由已知得.300),30(22260,2xxxhxa(1),1800)15(8)30(842xxxahS所以当15x时,S取得最大值.(2)()由00xV得(舍)或x=20.当)20,0(x时,.0)30,20(;0VxV时当所以x=20时,V取得极大值,也是最小值.此时1122ha即装盒的高与底面边长的比值为1.2大。3.如图,在xxEFABDC=2,2ABCBABBCPAB中,,为边上一动点,PD//BC交AC于点D,现将'',PDA.PDAPDPDAPBCD沿翻折至使平面平面(1)当棱锥'APBCD的体积最大时,求PA的长;(2)若点P为AB的中点,E为''.ACBDE的中点,求证:A解:(1)设xPA,则令则232)(2xxfx)332,0(332)(xf0)(xf单调递增极大值单调递减由上表易知:当332xPA时,有PBCDAV-取最大值。证明:作BA得中点F,连接EF、FP,由已知得:FPEDPDBCEF////21//PBA为等腰直角三角形,PFBA,所以DEBA.4.江西理19)设axxxxf22131)(23.(1)若)(xf在r上存在单调递增区间,求a的取值范围;(2)当20a时,)(xf在]4,1[上的最小值为316,求)(xf在该区间上的最大值.【解析】(1))(xf在r上存在单调递增区间,即存在某个子区间),32(),(nm使得0)('xf.由axaxxxf241)21(2)(22',)('xf在区间),32[上单调递减,则只需0)32('f即可。由0292)32('af解得91a,所以,当91a时,)(xf在r上存在单调递增区间.(2)令0)('xf,得两根28111ax,28111ax,28112ax.所以)(xf在),(1x,),(2x上单调递减,在),(21xx上单调递增当20a时,有4121xx,所以)(xf在]4,1[上的最大值为)(2xf又06227)1()4(aff,即)1()4(ff所以)(xf在]4,1[上的最小值为3163408)4(af,得1a,22x,从而)(xf在]4,1[上的最大值为310)2(f.

1、当您付费下载文档后,您只拥有了使用权限,并不意味着购买了版权,文档只能用于自身使用,不得用于其他商业用途(如 [转卖]进行直接盈利或[编辑后售卖]进行间接盈利)。
2、本站所有内容均由合作方或网友上传,本站不对文档的完整性、权威性及其观点立场正确性做任何保证或承诺!文档内容仅供研究参考,付费前请自行鉴别。
3、如文档内容存在违规,或者侵犯商业秘密、侵犯著作权等,请点击“违规举报”。

碎片内容

导数应用题(解析)

您可能关注的文档

确认删除?
VIP
微信客服
  • 扫码咨询
会员Q群
  • 会员专属群点击这里加入QQ群
客服邮箱
回到顶部