电脑桌面
添加小米粒文库到电脑桌面
安装后可以在桌面快捷访问

几个三角恒等式VIP免费

几个三角恒等式_第1页
1/3
几个三角恒等式_第2页
2/3
几个三角恒等式_第3页
3/3
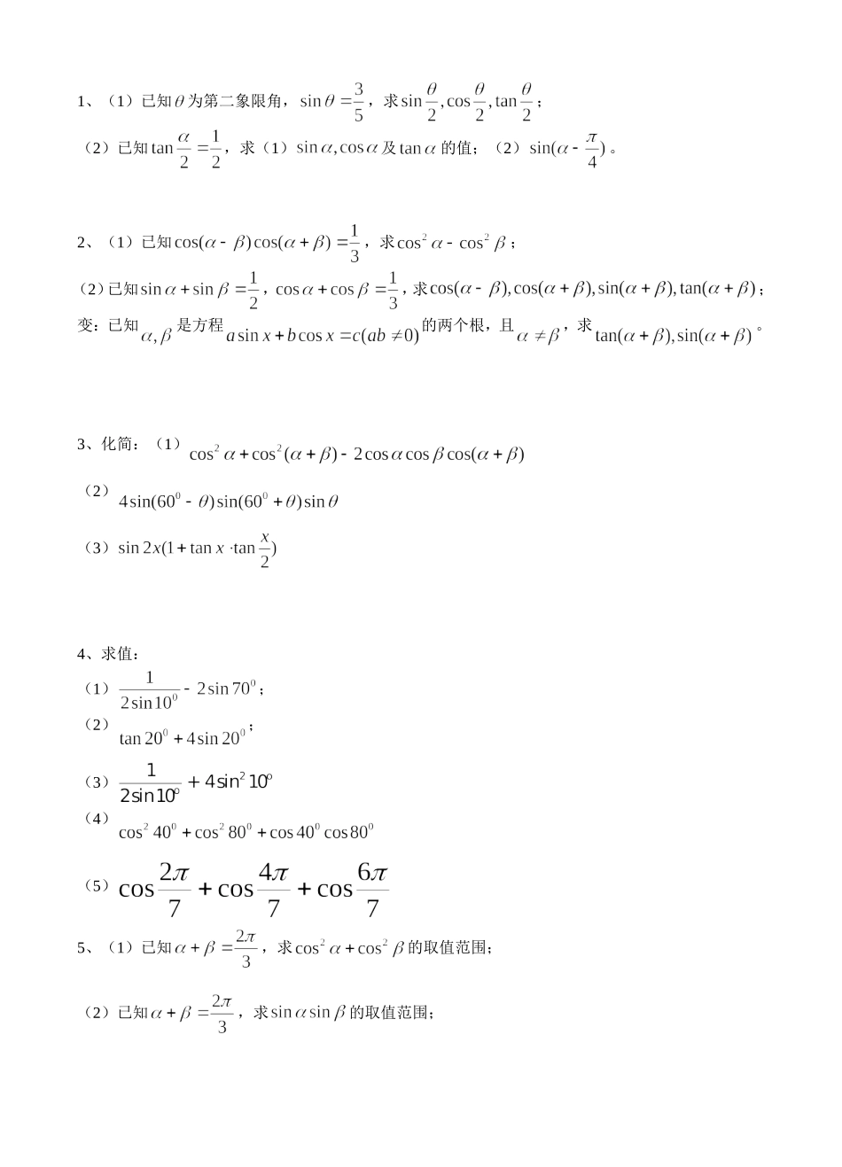
几个三角恒等式【教学目标】1、通过和差化积和积化和差公式的推导,让学生经历数学探索和发现的过程,激发学生发现数学的欲望和信心。2、提高三角变换能力。一、复习回顾两角和与差的正弦公式;___________________________;两角和与差的余弦公式____________________________;___________________________;二倍角公式_________________;________________;___________________;二、知识构建1、积化和差计算:=___________;____________;积化和差的公式:____________________________________________________;____________________________________________________;____________________________________________________;____________________________________________________;2、和差化积问题:能否用的和与差的三角函数表示的值?和差化积公式:_________________________________________________;_________________________________________________;_________________________________________________;_________________________________________________;3、半角公式4、万能公式例题分析:1、(1)已知为第二象限角,,求;(2)已知,求(1)及的值;(2)。2、(1)已知,求;(2)已知,,求;变:已知是方程的两个根,且,求。3、化简:(1)(2)(3)4、求值:(1);(2);(3)(4)(5)5、(1)已知,求的取值范围;(2)已知,求的取值范围;(3)已知,求函数的最小值.(4)求函数的值域.(5)已知)且函数的最小值为0,求的值.

1、当您付费下载文档后,您只拥有了使用权限,并不意味着购买了版权,文档只能用于自身使用,不得用于其他商业用途(如 [转卖]进行直接盈利或[编辑后售卖]进行间接盈利)。
2、本站所有内容均由合作方或网友上传,本站不对文档的完整性、权威性及其观点立场正确性做任何保证或承诺!文档内容仅供研究参考,付费前请自行鉴别。
3、如文档内容存在违规,或者侵犯商业秘密、侵犯著作权等,请点击“违规举报”。

碎片内容

几个三角恒等式

您可能关注的文档

中小学资料+ 关注
实名认证
内容提供者

精美课件,值得下载

相关文档

确认删除?
VIP
微信客服
  • 扫码咨询
会员Q群
  • 会员专属群点击这里加入QQ群
客服邮箱
回到顶部