电脑桌面
添加小米粒文库到电脑桌面
安装后可以在桌面快捷访问

人教A版高中数学必修五数列的通项公式与递推公式同步测试VIP免费

人教A版高中数学必修五数列的通项公式与递推公式同步测试_第1页
1/3
人教A版高中数学必修五数列的通项公式与递推公式同步测试_第2页
2/3
人教A版高中数学必修五数列的通项公式与递推公式同步测试_第3页
3/3
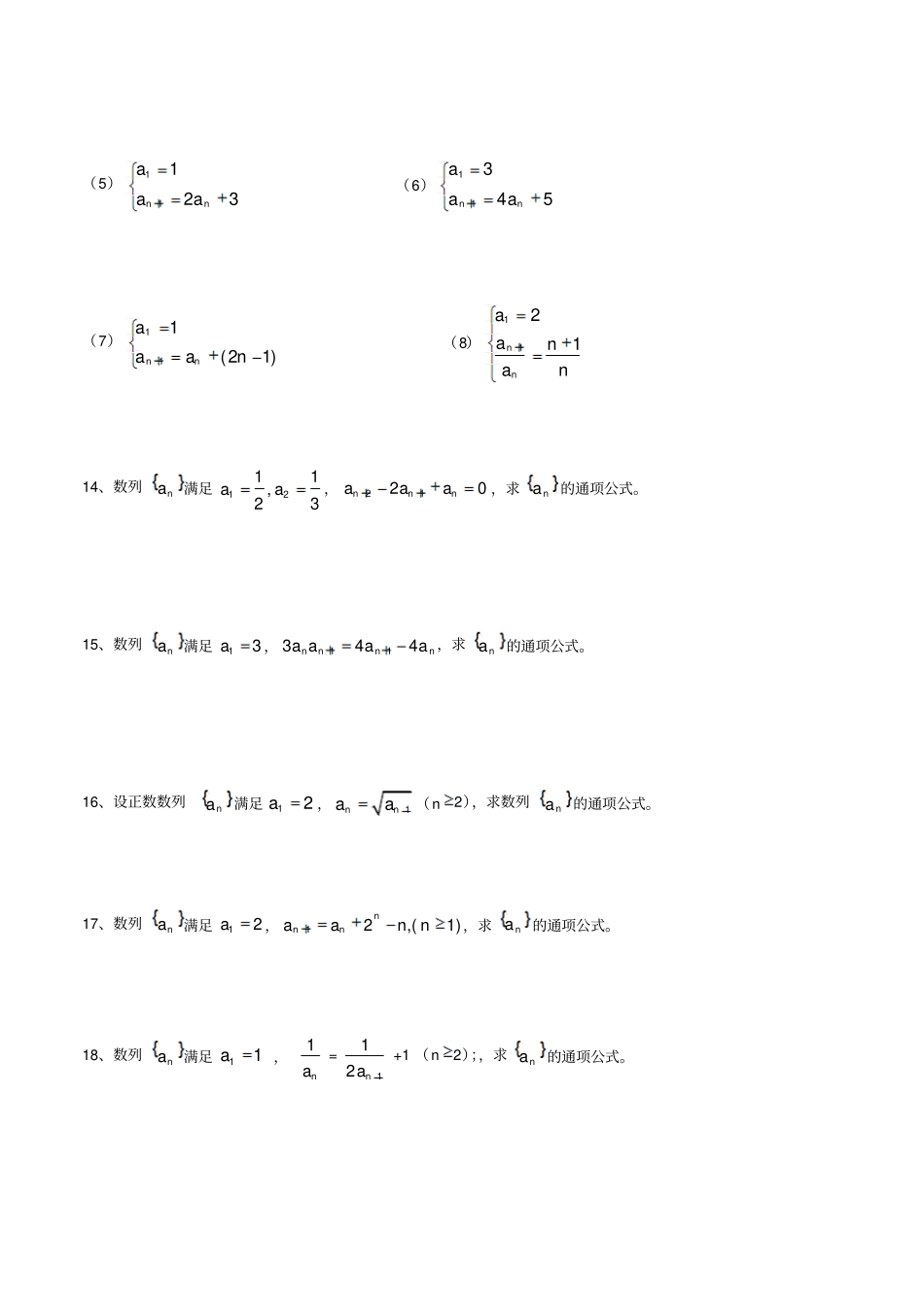
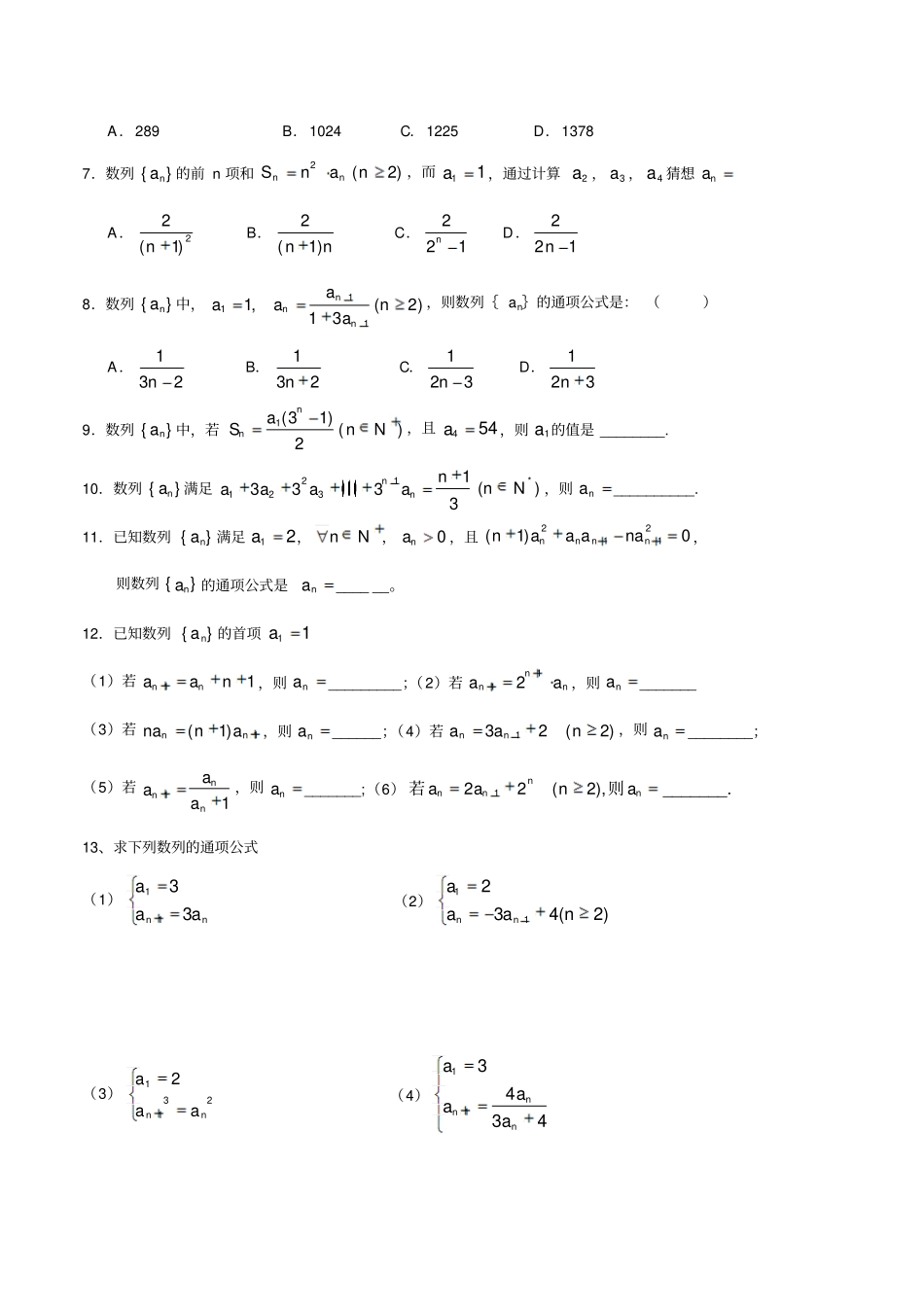
高中数学学习材料(灿若寒星精心整理制作)《数列的通项公式与递推公式》同步测试1.数列3,7,13,21,31,⋯,的一个通项公式为()A.14nanB.223nnnanC.12nnanD.不存在2.在数列}{na中,21a,naann21,则3a()A.6B.5C.4D.33.数列}{na中,a1=1,对于所有的2n,*nN都有2123naaaan,则35aa等于()A.1661B.925C.1625D.15314.下列各式中,可以作为数列}{na的通项公式的是:()A.2nanB.)2(log1nannC.112nnanD.4tannan5.在数列}{na中,2,121aa,nnnaaa122,则4a()A.3B.4C.5D.66.古希腊人常用小石子在沙滩上摆成各种性状来研究数,例如:他们研究过图1中的1,3,6,10,⋯,由于这些数能够表示成三角形,将其称为三角形数;类似地,称图2中的1,4,9,16⋯这样的数成为正方形数。下列数中及时三角形数又是正方形数的是()A.289B.1024C.1225D.13787.数列}{na的前n项和)2(2nanSnn,而11a,通过计算2a,3a,4a猜想naA.2)1(2nB.nn)1(2C.122nD.122n8.数列}{na中,)2(31,1111naaaannn,则数列{an}的通项公式是:()A.231nB.231nC.321nD.321n9.数列}{na中,若)(2)13(1NnaSnn,且544a,则1a的值是________.10.数列}{na满足2112313333nnnaaaa*()nN,则na__________.11.已知数列}{na满足21a,Nn,0na,且0)1(2112nnnnnaaaan,则数列}{na的通项公式是na______。12.已知数列}{na的首项11a(1)若11nnaan,则na_________;(2)若112nnnaa,则na_______(3)若1)1(nnanna,则na______;(4)若)2(231naann,则na________;(5)若11nnnaaa,则na_______;(6)122(2),_______.nnnnaana若则13、求下列数列的通项公式(1)nnaaa3311(2))2(43211naaann(3)23112nnaaa(4)434311nnnaaaa(5)32111nnaaa(6)54311nnaaa(7))12(111naaann(8)nnaaann121114、数列na满足1211,23aa,2120nnnaaa,求na的通项公式。15、数列na满足13a,nnnnaaaa44311,求na的通项公式。16、设正数数列na满足21a,1nnaa(n2),求数列na的通项公式。17、数列na满足12a,12,(1)nnnaann,求na的通项公式。18、数列na满足11a,na1=121na+1(n2);,求na的通项公式。

1、当您付费下载文档后,您只拥有了使用权限,并不意味着购买了版权,文档只能用于自身使用,不得用于其他商业用途(如 [转卖]进行直接盈利或[编辑后售卖]进行间接盈利)。
2、本站所有内容均由合作方或网友上传,本站不对文档的完整性、权威性及其观点立场正确性做任何保证或承诺!文档内容仅供研究参考,付费前请自行鉴别。
3、如文档内容存在违规,或者侵犯商业秘密、侵犯著作权等,请点击“违规举报”。

碎片内容

人教A版高中数学必修五数列的通项公式与递推公式同步测试

爱的疯狂+ 关注
实名认证
内容提供者

该用户很懒,什么也没介绍

相关文档

确认删除?
VIP
微信客服
  • 扫码咨询
会员Q群
  • 会员专属群点击这里加入QQ群
客服邮箱
回到顶部