电脑桌面
添加小米粒文库到电脑桌面
安装后可以在桌面快捷访问

人教版八年级数学上册习题:1分式混合运算习题及答VIP免费

人教版八年级数学上册习题:1分式混合运算习题及答_第1页
1/7
人教版八年级数学上册习题:1分式混合运算习题及答_第2页
2/7
人教版八年级数学上册习题:1分式混合运算习题及答_第3页
3/7
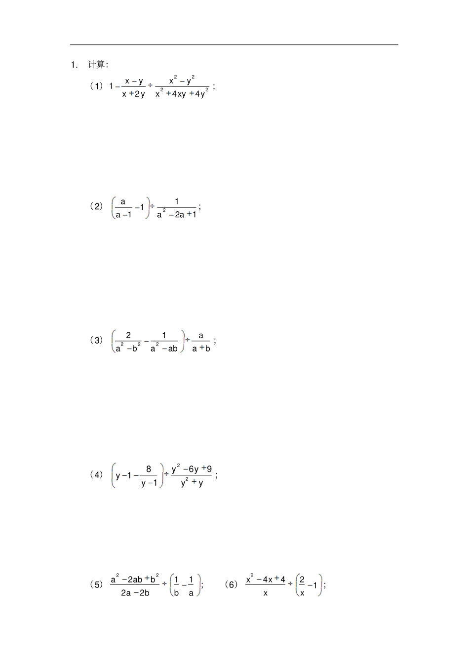
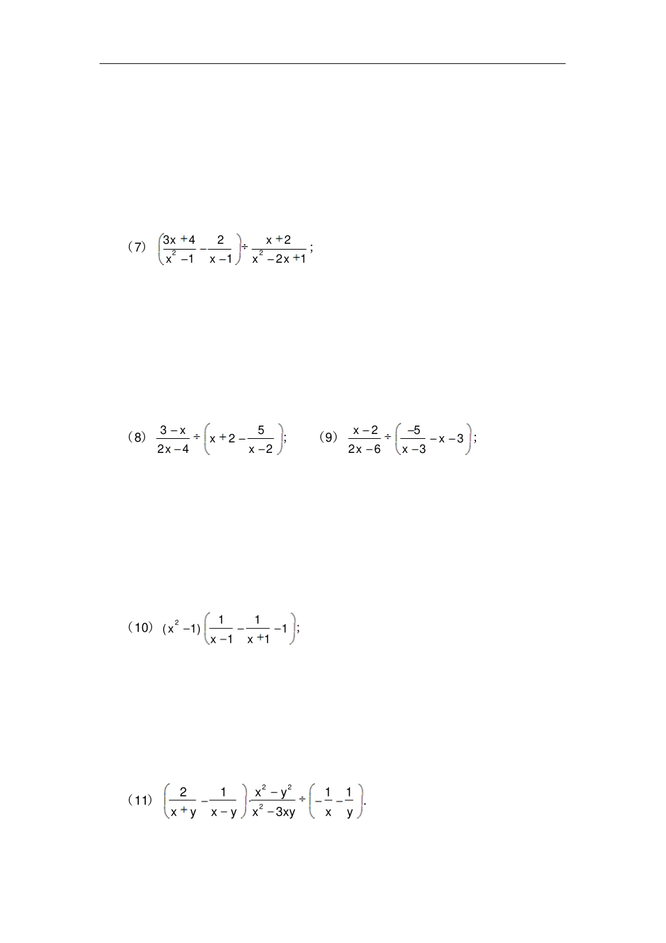
分式混合运算(习题)例题示范例1:混合运算:412222xxxx.【过程书写】2244122241622422(4)(4)14xxxxxxxxxxxxxx解:原式例2:先化简(1)211xxxxxx,然后在22x≤≤的范围内选取一个你认为合适的整数x代入求值.【过程书写】2221122112xxxxxxxxxxxx解:原式∵22x≤≤,且x为整数∴使原式有意义的x的值为-2,-1或2当x=2时,原式=-2巩固练习1.计算:(1)22221244xyxyxyxxyy;(2)211121aaaa;(3)22221aabaabab;(4)2286911yyyyyy;(5)2221122aabbabba;(6)24421xxxx;(7)2234221121xxxxxx;(8)352242xxxx;(9)253263xxxx;(10)211(1)111xxx;(11)22221113xyxyxyxxyxy.2.化简求值:(1)先化简,再求值:2121122xxxx,其中31x.(2)先化简,再求值:2222225321xyxxyyxxyxy,其中32x,32y.(3)先化简22212211211xxxxxxxx,然后在22x≤≤的范围内选取一个合适的整数x代入求值.(4)已知222111xxxAxx.①化简A;②当x满足不等式组1030xx≥,且x为整数时,求A的值.3.不改变分式2132113xyx的值,把分子、分母中各项系数化为整数,结果是()A.263xyxB.218326xyxC.2331xyxD.218323xyx4.把分式32abab中的分子、分母的值同时扩大为原来的2倍,则分式的值()A.不变B.扩大为原来的2倍C.扩大为原来的4倍D.缩小为原来的125.把分式34abab中a,b的值都扩大为原来的2倍,则分式的值()A.不变B.扩大为原来的2倍C.扩大为原来的4倍D.缩小为原来的126.把分式222xyxy中x,y的值都扩大为原来的2倍,则分式的值()A.不变B.扩大为原来的2倍C.扩大为原来的4倍D.缩小为原来的127.已知47(2)(3)23xABxxxx,则A=_______,B=_______.【参考答案】巩固练习1.(1)yxy(2)1a(3)21a(4)22(1)(27)(1)(3)yyyyyy(5)2ab(6)2x(7)11xx(8)126x(9)124x(10)23x(11)yxy2.(1)原式11x,当31x时,原式33(2)原式=3xy,当32x,32y时,原式=3(3)原式241xx,当x=2时,原式=0(4)①11x;②13.B4.A5.D6.A7.3,1

1、当您付费下载文档后,您只拥有了使用权限,并不意味着购买了版权,文档只能用于自身使用,不得用于其他商业用途(如 [转卖]进行直接盈利或[编辑后售卖]进行间接盈利)。
2、本站所有内容均由合作方或网友上传,本站不对文档的完整性、权威性及其观点立场正确性做任何保证或承诺!文档内容仅供研究参考,付费前请自行鉴别。
3、如文档内容存在违规,或者侵犯商业秘密、侵犯著作权等,请点击“违规举报”。

碎片内容

人教版八年级数学上册习题:1分式混合运算习题及答

您可能关注的文档

确认删除?
VIP
微信客服
  • 扫码咨询
会员Q群
  • 会员专属群点击这里加入QQ群
客服邮箱
回到顶部