电脑桌面
添加小米粒文库到电脑桌面
安装后可以在桌面快捷访问

2014届高三数学周练六20131112VIP免费

2014届高三数学周练六20131112_第1页
1/10
2014届高三数学周练六20131112_第2页
2/10
2014届高三数学周练六20131112_第3页
3/10
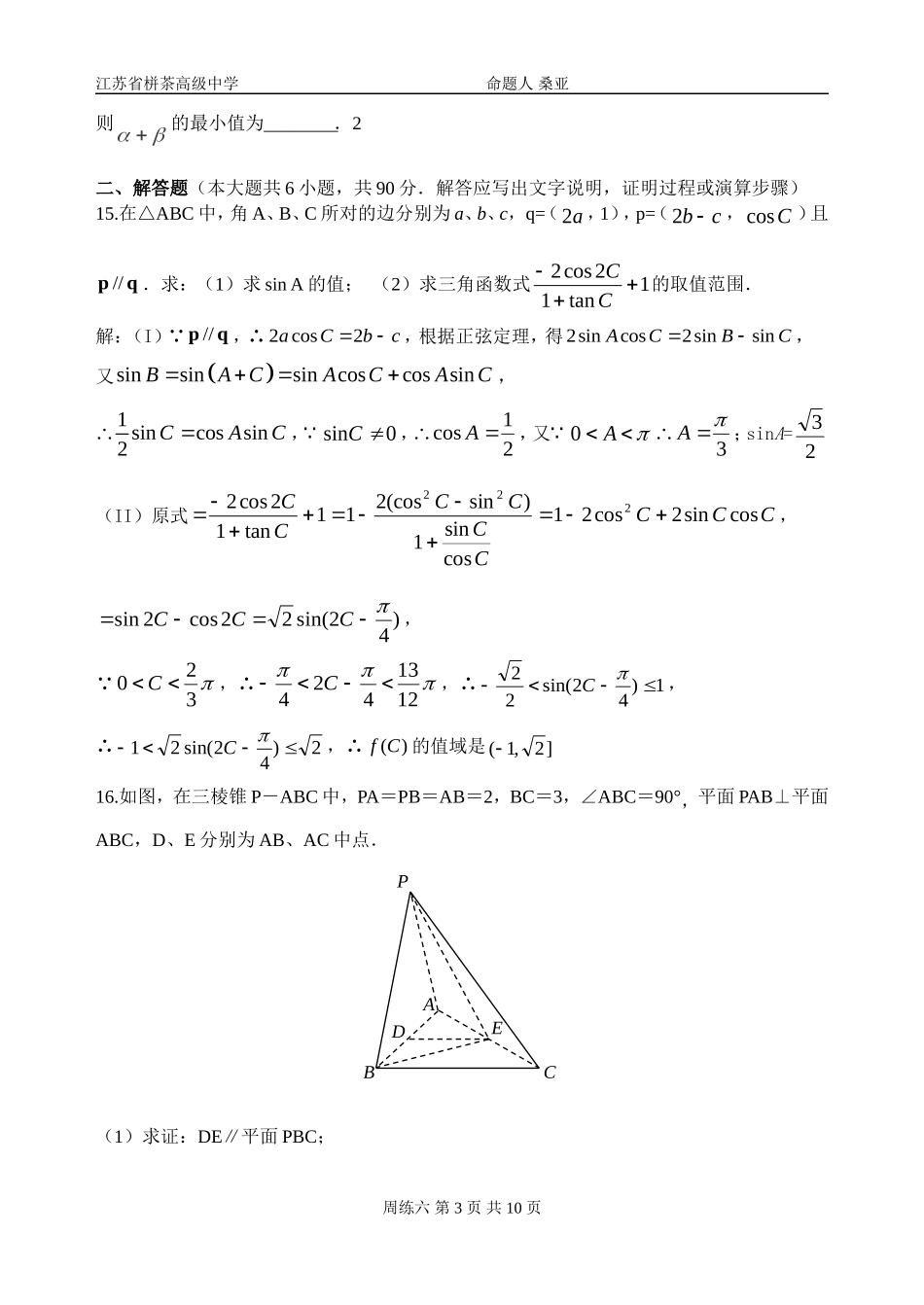
江苏省栟茶高级中学命题人桑亚2014届高三数学周练六2013.11.12班级姓名学号一、填空题(本大题共14小题,每小题5分,共70分,把答案填在题中横线上)1.若复数12zi(i为虚数单位),则zzz.i262.已知集合212{log(1)}Mxyx,11{24}2xNx,则MN.21,.3.已知复数的实部是,虚部是,若复数为纯虚数,则实数x的值为.14.在直角三角形ABC中,90ACB,2ACBC,点P是斜边AB上的一个三等分点,则CPCBCPCA�.45.已知523sincosxx,则4cos2sin5xx73.6.已知非零向量a,b满足||332||||ababa,则ba与ba的夹角为.7.在△ABC所在平面上有三点P、Q、R,满足,ABPCPBPACARCRBRABCQCQBQA,,则△PQR的面积与△ABC的面积之比为.1:38.设l、m、n表示条不同直线,α、β、γ表示三个不同平面,给出下列四个命题:①若l⊥α,m⊥α,则l//m;②若mβ,n是l在β内的射影,且m⊥l,则m⊥n;③若mα,m//n,则n//α;④若α⊥γ,β⊥γ,则α//β.真命题的序号是.①②9.如图,在三棱柱A1B1C1ABC中,D,E,F分别是AB,AC,AA1的中点,设三棱锥FADE的体积为V1,三棱柱A1B1C1ABC的体积为V2,则V1∶V2=________.周练六第1页共10页江苏省栟茶高级中学命题人桑亚答案1∶2410.下列有关命题的说法正确的是.①命题“若21x,则1x或”的否命题为:“若21x,则1x或”;②若a、b为非零向量,那么“ab”是“函数()()()fxxabxba为一次函数”的必要不充分条件;③命题“xR,使得210xx”的否定是:“xR,均有210xx”;④命题“在∆ABC中,若sinA=sinB,则△ABC为等腰三角形”的逆命题为真命题.答案②11.已知),10cos()10cos()20sin(000xxx则xtan▲.312.定义域为的偶函数满足对,有,且当时,,若函数在上至少有三个零点,则的取值范围是.13.已知函数)0()(txtxxf和点)0,1(P,过点P作曲线)(xfy的两条切线PM、PN,切点分别为M、N,若M、N与)1,0(A三点共线,则t的值为.21t14.已知O为△ABC的外心,,120,2,20BACaACaAB若ACABAO,周练六第2页共10页江苏省栟茶高级中学命题人桑亚则的最小值为.2二、解答题(本大题共6小题,共90分.解答应写出文字说明,证明过程或演算步骤)15.在△ABC中,角A、B、C所对的边分别为a、b、c,q=(a2,1),p=(cb2,Ccos)且qp//.求:(1)求sinA的值;(2)求三角函数式1tan12cos2CC的取值范围.解:(I) qp//,∴cbCa2cos2,根据正弦定理,得CBCAsinsin2cossin2,又sinsinsincoscossinBACACAC,1sincossin2CAC,0sinC,21cosA,又0A3A;sinA=23(II)原式CCCCCCCCCcossin2cos21cossin1)sin(cos211tan12cos2222,)42sin(22cos2sinCCC, 320C,∴1213424C,∴1)42sin(22C,∴2)42sin(21C,∴)(Cf的值域是]2,1(16.如图,在三棱锥P-ABC中,PA=PB=AB=2,BC=3,∠ABC=90°,平面PAB⊥平面ABC,D、E分别为AB、AC中点.(1)求证:DE∥平面PBC;周练六第3页共10页PABCED江苏省栟茶高级中学命题人桑亚(2)求证:AB⊥PE.证明:(1)由D、E分别为AB、AC中点,得DE∥BC.可得DE∥平面PBC(2)连结PD,由PA=PB,得PD⊥AB.DE∥BC,BC⊥AB,推出DE⊥AB.AB⊥平面PDE,得到AB⊥PE.17.已知函数是奇函数.(1)求实数的值;(2)若函数f(x)在区间[-1,a-2]上单调递增,求实数a的取值范围.解:(1)设x<0,则-x>0,所以f(-x)=-(-x)2+2(-x)=-x2-2x.又f(x)为奇函数,所以f(-x)=-f(x),于是x<0时,f(x)=x2+2x=x2+mx,所以m=2.(2)要使f(x)在[-1,a-2]上单调递增,结合f(x)的图象知所以1

1、当您付费下载文档后,您只拥有了使用权限,并不意味着购买了版权,文档只能用于自身使用,不得用于其他商业用途(如 [转卖]进行直接盈利或[编辑后售卖]进行间接盈利)。
2、本站所有内容均由合作方或网友上传,本站不对文档的完整性、权威性及其观点立场正确性做任何保证或承诺!文档内容仅供研究参考,付费前请自行鉴别。
3、如文档内容存在违规,或者侵犯商业秘密、侵犯著作权等,请点击“违规举报”。

碎片内容

2014届高三数学周练六20131112

您可能关注的文档

精品文库+ 关注
实名认证
内容提供者

中小学课件教案大全

确认删除?
微信客服
  • 扫码咨询
会员Q群
  • 会员专属群点击这里加入QQ群