电脑桌面
添加小米粒文库到电脑桌面
安装后可以在桌面快捷访问

全国初中数学竞赛题及参考答案VIP免费

全国初中数学竞赛题及参考答案_第1页
1/11
全国初中数学竞赛题及参考答案_第2页
2/11
全国初中数学竞赛题及参考答案_第3页
3/11
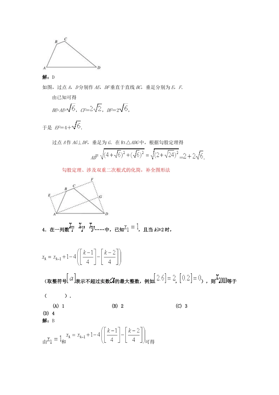
全国初中数学竞赛题及参考答案一、选择题(共5小题,每小题7分,共35分.其中有且只有一个选项是正确的.请将正确选项的代号填入题后的括号里,不填、多填或错填都得0分)1.若,则的值为().(A)(B)(C)(D)解:由题设得.代数式变形,同除b2.若实数a,b满足,则a的取值范围是().(A)a(B)a4(C)a≤或a≥4(D)≤a≤4解.C因为b是实数,所以关于b的一元二次方程的判别式≥0,解得a≤或a≥4.方程思想,判别式定理;要解一元二次不等式3.如图,在四边形ABCD中,∠B=135°,∠C=120°,AB=,BC=,CD=,则AD边的长为().(A)(B)(C)(D)解:D如图,过点A,D分别作AE,DF垂直于直线BC,垂足分别为E,F.由已知可得BE=AE=,CF=,DF=2,于是EF=4+.过点A作AG⊥DF,垂足为G.在Rt△ADG中,根据勾股定理得AD=.勾股定理、涉及双重二次根式的化简,补全图形法4.在一列数……中,已知,且当k≥2时,(取整符号表示不超过实数的最大整数,例如,),则等于().(A)1(B)2(C)3(D)4解:B由和可得,,,,,,,,……因为2010=4×502+2,所以=2.高斯函数;找规律。5.如图,在平面直角坐标系xOy中,等腰梯形ABCD的顶点坐标分别为A(1,1),B(2,-1),C(-2,-1),D(-1,1).y轴上一点P(0,2)绕点A旋转180°得点P1,点P1绕点B旋转180°得点P2,点P2绕点C旋转180°得点P3,点P3绕点D旋转180°得点P4,……,重复操作依次得到点P1,P2,…,则点P2010的坐标是().(A)(2010,2)(B)(2010,)(C)(2012,)(D)(0,2)解:B由已知可以得到,点,的坐标分别为(2,0),(2,).记,其中.根据对称关系,依次可以求得:,,,.令,同样可以求得,点的坐标为(),即(),由于2010=4502+2,所以点的坐标为(2010,).二、填空题6.已知a=-1,则2a3+7a2-2a-12的值等于.解:0由已知得(a+1)2=5,所以a2+2a=4,于是2a3+7a2-2a-12=2a3+4a2+3a2-2a-12=3a2+6a-12=0.7.一辆客车、一辆货车和一辆小轿车在一条笔直的公路上朝同一方向匀速行驶.在某一时刻,客车在前,小轿车在后,货车在客车与小轿车的正中间.过了10分钟,小轿车追上了货车;又过了5分钟,小轿车追上了客车;再过t分钟,货车追上了客车,则t=.解:15设在某一时刻,货车与客车、小轿车的距离均为S千米,小轿车、货车、客车的速度分别为(千米/分),并设货车经x分钟追上客车,由题意得,①,②.③由①②,得,所以,x=30.故(分).8.如图,在平面直角坐标系xOy中,多边形OABCDE的顶点坐标分别是O(0,0),A(0,6),B(4,6),C(4,4),D(6,4),E(6,0).若直线l经过点M(2,3),且将多边形OABCDE分割成面积相等的两部分,则直线l的函数表达式是.解:如图,延长BC交x轴于点F;连接OB,AFCE,DF,且相交于点N.由已知得点M(2,3)是OB,AF的中点,即点M为矩形ABFO的中心,所以直线把矩形ABFO分成面积相等的两部分.又因为点N(5,2)是矩形CDEF的中心,所以,过点N(5,2)的直线把矩形CDEF分成面积相等的两部分.于是,直线即为所求的直线.设直线的函数表达式为,则解得,故所求直线的函数表达式为.9.如图,射线AM,BN都垂直于线段AB,点E为AM上一点,过点A作BE的垂线AC分别交BE,BN于点F,C,过点C作AM的垂线CD,垂足为D.若CD=CF,则.解:见题图,设.因为Rt△AFB∽Rt△ABC,所以.又因为FC=DC=AB,所以即,解得,或(舍去).又Rt△∽Rt△,所以,即=.10.对于i=2,3,…,k,正整数n除以i所得的余数为i-1.若的最小值满足,则正整数的最小值为.解:因为为的倍数,所以的最小值满足,其中表示的最小公倍数.由于,因此满足的正整数的最小值为.三、解答题(共4题,每题20分,共80分).如图,△ABC为等腰三角形,AP是底边BC上的高,点D是线段PC上的一点,BE和CF分别是△ABD和△ACD的外接圆.求证:.证明:如图,连接ED,FD.因为BE和CF都是直径,所以ED⊥BC,FD⊥BC,因此D,E,F三点共线.…………(5分)连接AE,AF,则,所以,△ABC∽△AEF.…………(10分)作AH⊥EF,垂足为H,则AH=PD.由△ABC∽△AEF可得,从而所以………...

1、当您付费下载文档后,您只拥有了使用权限,并不意味着购买了版权,文档只能用于自身使用,不得用于其他商业用途(如 [转卖]进行直接盈利或[编辑后售卖]进行间接盈利)。
2、本站所有内容均由合作方或网友上传,本站不对文档的完整性、权威性及其观点立场正确性做任何保证或承诺!文档内容仅供研究参考,付费前请自行鉴别。
3、如文档内容存在违规,或者侵犯商业秘密、侵犯著作权等,请点击“违规举报”。

碎片内容

全国初中数学竞赛题及参考答案

您可能关注的文档

文章天下+ 关注
实名认证
内容提供者

各种文档应有尽有

确认删除?
VIP
微信客服
  • 扫码咨询
会员Q群
  • 会员专属群点击这里加入QQ群
客服邮箱
回到顶部