电脑桌面
添加小米粒文库到电脑桌面
安装后可以在桌面快捷访问

九年级数学测验卷——二次根式VIP专享VIP免费

九年级数学测验卷——二次根式_第1页
1/5
九年级数学测验卷——二次根式_第2页
2/5
九年级数学测验卷——二次根式_第3页
3/5
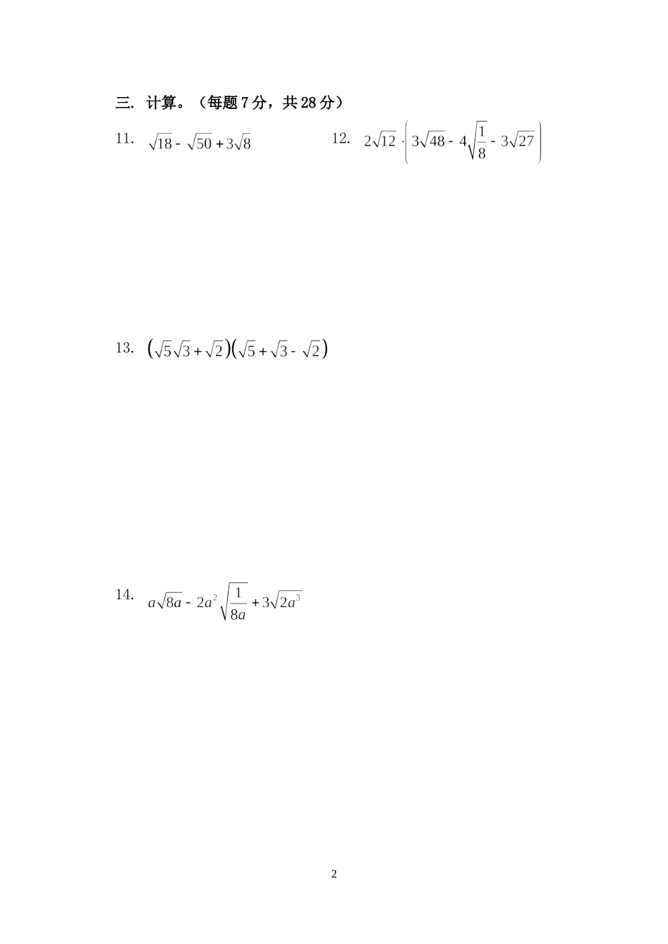
九年级数学测验卷《二次根式》班级:姓名:座号:成绩:一.选择题。(每题4分,共20分)1.若有意义,则能取得最小整数是()A.0B.1C.-1D.-42.已知,则的值为()A.1B.-1C.D.以上答案都不对3.的整数部分为,的整数部分为,则的值是()A.1B.2C.4D.94.把根号外的因式移到根号内,得()A.B.C.D.5.若,则的值是()A.-2B.0C.2D.二.填空题。(每题4分,共20分)6.若二次根式有意义,则的取值范围是。7.已知,则。8.比较大小:。9.在实数范围内因式分解:。10.若,则。1三.计算。(每题7分,共28分)11.12.13.14.2四.解答题。(15—16题每题10分,17题12分)15.如图:面积为48的正方形四个角是面积为3的小正方形,现将四个角剪掉,制作一个无盖的长方体盒子,求这个长方体的底面边长和高分别是多少?(精确到0.1)16.当时,化简:317.若最简二次根式是同类二次根式。⑴.求的值。⑵.求平方和的算术平方根。答案:1——5:ABDDD46.;7.8;8.;9.;10.0;11.;12.;13.;14.;15.底面边长为3.5cm;高为1.7cm;16.;17.、5

1、当您付费下载文档后,您只拥有了使用权限,并不意味着购买了版权,文档只能用于自身使用,不得用于其他商业用途(如 [转卖]进行直接盈利或[编辑后售卖]进行间接盈利)。
2、本站所有内容均由合作方或网友上传,本站不对文档的完整性、权威性及其观点立场正确性做任何保证或承诺!文档内容仅供研究参考,付费前请自行鉴别。
3、如文档内容存在违规,或者侵犯商业秘密、侵犯著作权等,请点击“违规举报”。

碎片内容

九年级数学测验卷——二次根式

您可能关注的文档

确认删除?
VIP
微信客服
  • 扫码咨询
会员Q群
  • 会员专属群点击这里加入QQ群
客服邮箱
回到顶部