电脑桌面
添加小米粒文库到电脑桌面
安装后可以在桌面快捷访问

去分母解一元一次方程VIP专享VIP免费

去分母解一元一次方程_第1页
1/4
去分母解一元一次方程_第2页
2/4
去分母解一元一次方程_第3页
3/4
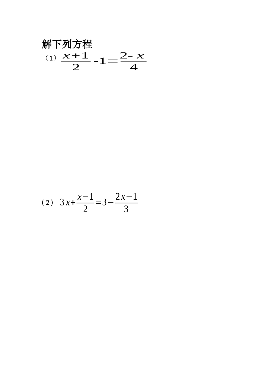
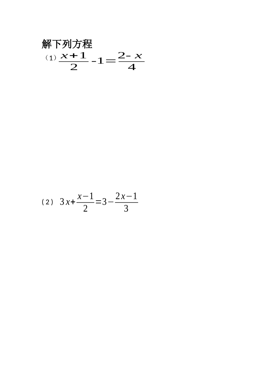
解下列方程(1)( 2 ) x+12-1=2- x43 x+ x−12 =3−2x−13解下列方程(1)( 2 ) x+12-1=2- x43 x+ x−12 =3−2x−13达标测评:1、去分母时,在方程的左右两边同时乘以各个分母的_____________,从而去掉分母,去分母时,每一项都要乘,不要漏乘_____________。2、解方程-1 = 时,去分母正确的是( )A 3x-3=2(x-1) B 3x-6=2(2x-1)C 3x-6=2x-1 D 3x-3=2x-13、指出下列解方程中的错误,并给予改正。解方程: 解: 15x-5=8x+4-1, 15x-8x=4-1+5 7x=8 x=78 4、解方程 = -1 达标测评:1、去分母时,在方程的左右两边同时乘以各个分母的_____________,从而去掉分母,去分母时,每一项都要乘,不要漏乘_____________。2、解方程-1 = 时,去分母正确的是( )A 3x-3=2(x-1) B 3x-6=2(2x-1)C 3x-6=2x-1 D 3x-3=2x-13、指出下列解方程中的错误,并给予改正。解方程: 解: 15x-5=8x+4-1, 15x-8x=4-1+5 7x=8 x=78 4、解方程 = -1

1、当您付费下载文档后,您只拥有了使用权限,并不意味着购买了版权,文档只能用于自身使用,不得用于其他商业用途(如 [转卖]进行直接盈利或[编辑后售卖]进行间接盈利)。
2、本站所有内容均由合作方或网友上传,本站不对文档的完整性、权威性及其观点立场正确性做任何保证或承诺!文档内容仅供研究参考,付费前请自行鉴别。
3、如文档内容存在违规,或者侵犯商业秘密、侵犯著作权等,请点击“违规举报”。

碎片内容

去分母解一元一次方程

您可能关注的文档

精品中小学文档+ 关注
实名认证
内容提供者

精品资料,值得下载

相关文档

确认删除?
VIP
微信客服
  • 扫码咨询
会员Q群
  • 会员专属群点击这里加入QQ群
客服邮箱
回到顶部