电脑桌面
添加小米粒文库到电脑桌面
安装后可以在桌面快捷访问

7上有理数加减法-化简求值练习VIP免费

7上有理数加减法-化简求值练习_第1页
1/31
7上有理数加减法-化简求值练习_第2页
2/31
7上有理数加减法-化简求值练习_第3页
3/31
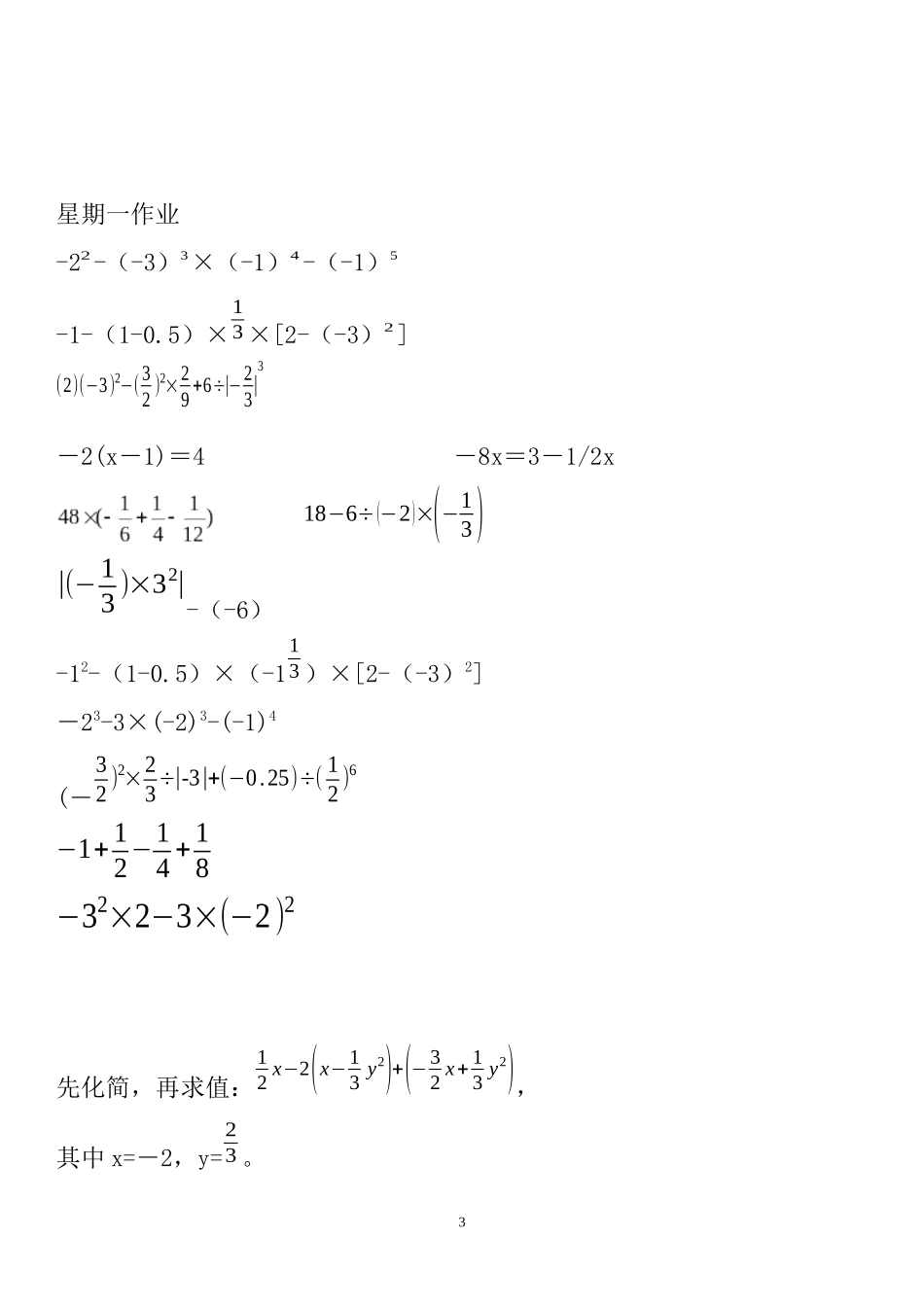
星期四作业−1.5+1.4−4 .3−5.2+3.6 (−6 )÷(13−12)−|−5|−[1−(12×23−1)]÷(−53) −2.5×7.3+2.5×(−2.4)−2.5×(−1.7)−3−[−5+(1−0.2÷35)÷(−2)]−34 ×[(−2)2×(−14)2−12]-9+5×(-6) -(-4)2÷(-8)− 112 +(0.3×3 13 + 13)÷(−2)4−6x=2 x−12+3x+12 + 2+3x3=1先化简后求值:m(m-3)-(m+3)(m-3),其中 m=-4.2( x2 y+xy2 )−2( x2 y−x)−2xy 2−2 y的值,其中x=−2, y=21星期五作业15+(―14 )―15―(―0.25) (−4)2×[−34 +(−58)](−81)÷ 94×49 ÷(−32) —48 ×( 14− 136 −16 + 112 )2x-19=7x+31 3x−14- 5x−76 = 1 74 ÷78−23×(−6)2−32×2−3×(−2)2先化简,再求值,已知 a=1,b= —13 ,求多项式的值先化简,再求值:3( x−y )−2( x+ y)+2,其中x=−1,y=34 .2星期一作业-22-(-3)3×(-1)4 -(-1)5-1-(1-0.5)×13 ×[2-(-3)2](2)(−3)2−(32 )2×29 +6÷|−23|3-2(x-1)=4 -8x=3-1/2x 18−6÷(−2)×(−13)|(−13 )×32|-(-6) -12-(1-0.5)×(-113 )×[2-(-3)2]-23-3×(-2)3-(-1)4 (-32 )2×23÷|-3|+(−0.25)÷( 12 )6−1+ 12−14 + 18−32×2−3×(−2)2先化简,再求值:12 x−2(x−13 y2)+(−32 x+ 13 y2),其中 x=-2,y=23 。3星期二作业解方程1) 2(x-2)+2=x+1 2) -=13)4−3(2−x)=5x 4)2x−13= x+22 +15)−14−16×[2−(−3)2]6)(−4)2×(−34 )+30÷(−6)7)( 34−16− 112 )÷8×(−48)8)−1 12×[3÷(−23 )2−10] 9)-22+22×[(-1)10+|-1|]10)( 35 −12− 712 )×(60×37−60×17 +60×57 ) 411)12)4×(-3)2-13+(-)-|-43|13)-32 -[(-2)2 -(1-45 ×34 )÷(-2)]14)先化简,再求值:,其中星期三作业1)2)(−0.5+ 13+ 16)÷(124 )3)−2.5×7.3+2.5×(−2.4)−2.5×(−1.7)4)−3−[−5+(1−0.2÷35)÷(−2)]5)−24×(−12 + 34 −13) 6)−23×2 12÷(−43)−(−2 )2×(−5 )7)−|−5|−[1−(12×23−1)]÷(−53)58)9)化简求值.2xy2+[7x-3(2x-1)-2xy2]+y,其中。星期四作业1+(-2)+︱-2-3︱-5 ()÷()÷(-0.25)︱︱×( - )― × (-1) 2008(23− 112 − 115 )×(−60) 23÷[(−2)3−(−4)]6−22×2−3×(−1)2 −62×(1 23)2+(−3)3÷(− 35)2−16÷(−2)3−(−18)×(−4 )−32×(−13)−...

1、当您付费下载文档后,您只拥有了使用权限,并不意味着购买了版权,文档只能用于自身使用,不得用于其他商业用途(如 [转卖]进行直接盈利或[编辑后售卖]进行间接盈利)。
2、本站所有内容均由合作方或网友上传,本站不对文档的完整性、权威性及其观点立场正确性做任何保证或承诺!文档内容仅供研究参考,付费前请自行鉴别。
3、如文档内容存在违规,或者侵犯商业秘密、侵犯著作权等,请点击“违规举报”。

碎片内容

7上有理数加减法-化简求值练习

您可能关注的文档

精品中小学资料+ 关注
实名认证
内容提供者

精品文档

确认删除?
VIP
微信客服
  • 扫码咨询
会员Q群
  • 会员专属群点击这里加入QQ群
客服邮箱
回到顶部