电脑桌面
添加小米粒文库到电脑桌面
安装后可以在桌面快捷访问

十实数计算题专题训练含答案VIP免费

十实数计算题专题训练含答案_第1页
1/6
十实数计算题专题训练含答案_第2页
2/6
十实数计算题专题训练含答案_第3页
3/6
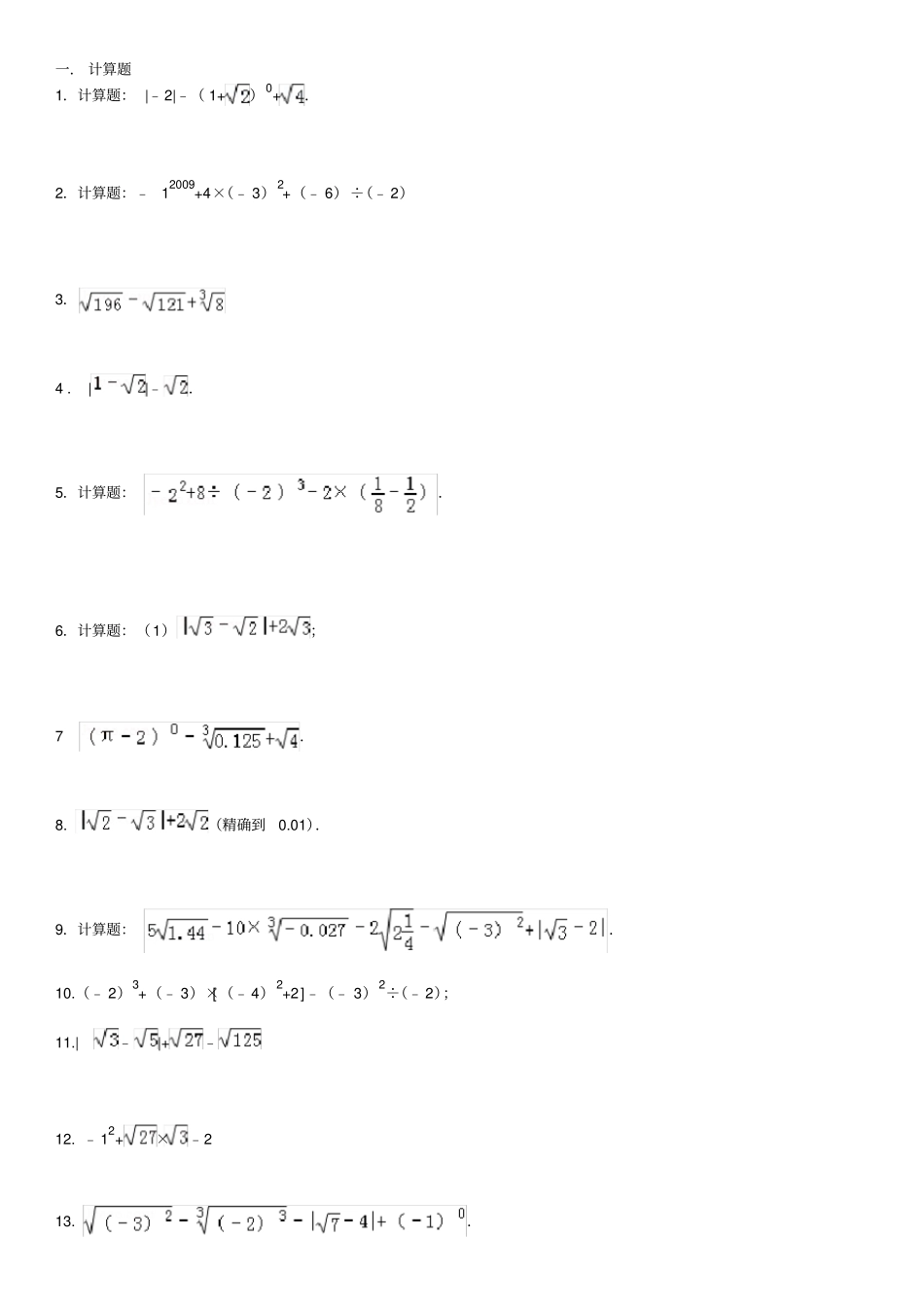
一. 计算题1.计算题: |﹣2|﹣( 1+) 0+.2.计算题:﹣ 12009+4×(﹣ 3)2+(﹣ 6)÷(﹣ 2)3.4 . ||﹣.5.计算题:.6.计算题:(1);7 .8. (精确到0.01).9.计算题:.10.(﹣ 2)3+(﹣ 3)×[ (﹣ 4)2+2]﹣(﹣ 3)2÷(﹣ 2);11.| ﹣|+﹣12. ﹣ 12+×﹣2 13. .2 / 6 14. 求 x 的值: 9x2=121.15. 已知,求 xy 的值.16. 比较大小:﹣ 2,﹣(要求写过程说明)17.求 x 的值:(x+10)2=16 18. .19. 已知 m<n,求+的值;20.已知 a<0,求+的值.3 / 6 专题一计算题训练参考答案与试题解析一.解答题(共13 小题)1.计算题: |﹣2|﹣( 1+)0+.解答:解:原式 =2﹣1+2,=3.2.计算题:﹣ 12009+4×(﹣ 3) 2+(﹣ 6)÷(﹣ 2)解答:解:﹣ 12009+4×(﹣ 3)2+(﹣ 6)÷(﹣ 2),=﹣1+4×9+3,=38.3.4. ||﹣.原式 =14﹣11+2=5;( 2)原式 ==﹣1.点评:此题主要考查了实数的综合运算能力,是各地中考题中常见的计算题型.解决此类题目的关键是熟练掌握二次根式、绝对值等考点的运算.5.计算题:.考点 : 有理数的混合运算。分析:首先进行乘方运算、然后根据乘法分配原则进行乘法运算、同时进行除法运算,最后进行加减法运算即可.解答:解:原式 =﹣4+8÷(﹣ 8)﹣(﹣1)=﹣4﹣1﹣(﹣)=﹣5+=﹣.点评:本题主要考查有理数的混合运算,乘方运算,关键在于正确的去括号,认真的进行计算即可.6.;7..考点 : 实数的运算;立方根;零指数幂;二次根式的性质与化简。分析:( 1)注意: |﹣|=﹣;( 2)注意:(π﹣2) 0=1.解答:解:(1)(4 / 6 ==;( 2)=1﹣0.5+2 =2.5.点评:保证一个数的绝对值是非负数,任何不等于0 的数的 0 次幂是 1,注意区分是求二次方根还是三次方根.8.(精确到 0.01).考点 : 实数的运算。专题 : 计算题。分析:( 1)先去括号,再合并同类二次根式;( 2)先去绝对值号,再合并同类二次根式.解答:解:(1)原式 =2=;( 2)原式 ==≈1.732+1.414 ≈3.15.点评:此题主要考查了实数的运算.无理数的运算法则与有理数的运算法则是一样的.注意精确到0.01.9.计算题:.考点 : 实数的运算;绝对值;算术平方根;立方根。专题 : 计算题。分析:根据绝对值、立方根、二次根式化简等运算法则进行计算,然后根据实数的运算法则求得计算结果.解答:解:原式=5×1.2...

1、当您付费下载文档后,您只拥有了使用权限,并不意味着购买了版权,文档只能用于自身使用,不得用于其他商业用途(如 [转卖]进行直接盈利或[编辑后售卖]进行间接盈利)。
2、本站所有内容均由合作方或网友上传,本站不对文档的完整性、权威性及其观点立场正确性做任何保证或承诺!文档内容仅供研究参考,付费前请自行鉴别。
3、如文档内容存在违规,或者侵犯商业秘密、侵犯著作权等,请点击“违规举报”。

碎片内容

十实数计算题专题训练含答案

确认删除?
VIP
微信客服
  • 扫码咨询
会员Q群
  • 会员专属群点击这里加入QQ群
客服邮箱
回到顶部