电脑桌面
添加小米粒文库到电脑桌面
安装后可以在桌面快捷访问

华师版七年级数学列代数式和代数式的值测试VIP免费

华师版七年级数学列代数式和代数式的值测试_第1页
1/5
华师版七年级数学列代数式和代数式的值测试_第2页
2/5
华师版七年级数学列代数式和代数式的值测试_第3页
3/5
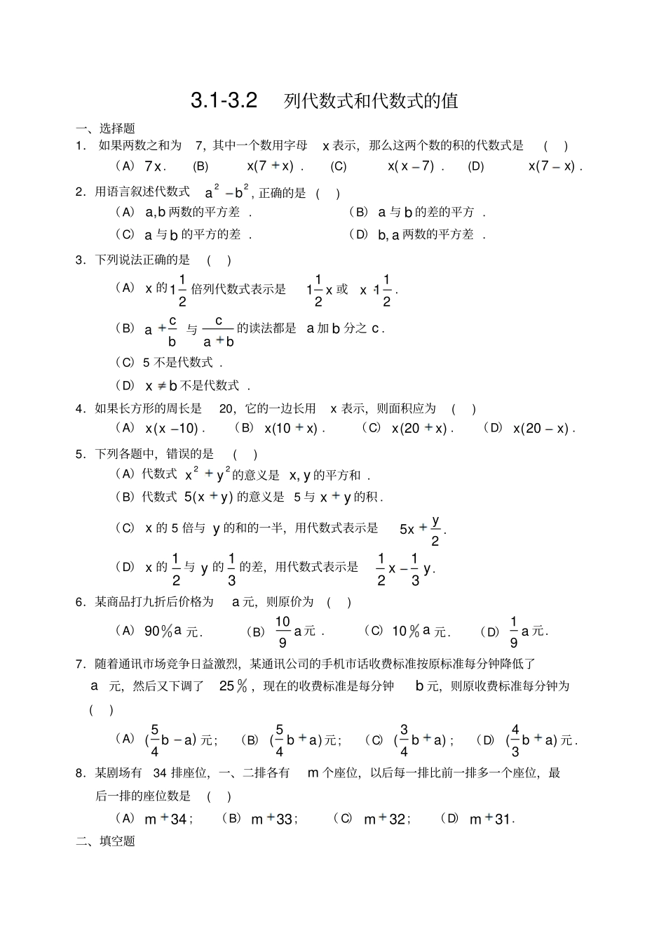
3.1-3.2 列代数式和代数式的值一、选择题1. 如果两数之和为7,其中一个数用字母x 表示,那么这两个数的积的代数式是( ) (A)x7. (B))7(xx . (C))7( xx . (D) )7(xx. 2.用语言叙述代数式22ba, 正确的是 ( ) (A)ba,两数的平方差 . (B) a 与 b 的差的平方 . (C) a 与 b 的平方的差 . (D)ab,两数的平方差 . 3.下列说法正确的是 ( ) (A) x 的211倍列代数式表示是x211或211x. (B)bca与bac的读法都是 a 加 b 分之 c . (C)5 不是代数式 . (D)bx不是代数式 . 4.如果长方形的周长是20,它的一边长用x 表示,则面积应为 ( ) (A))10(xx. (B))10(xx. (C))20(xx. (D))20(xx. 5.下列各题中,错误的是 ( ) (A)代数式22yx的意义是yx,的平方和 . (B)代数式)(5yx的意义是 5 与yx的积 . (C) x 的 5 倍与 y 的和的一半,用代数式表示是25yx. (D) x 的21 与 y 的31 的差,用代数式表示是yx3121. 6.某商品打九折后价格为a 元,则原价为 ( ) (A)a0090元. (B)a910元 . (C)a0010元. (D)a91元. 7.随着通讯市场竞争日益激烈,某通讯公司的手机市话收费标准按原标准每分钟降低了a元,然后又下调了0025,现在的收费标准是每分钟b 元,则原收费标准每分钟为( ) (A))45(ab元; (B))45(ab元; (C))43(ab; (D))34(ab元 . 8.某剧场有34 排座位,一、二排各有m 个座位,以后每一排比前一排多一个座位,最后一排的座位数是 ( ) (A)34m; (B)33m; ( C)32m; (D)31m. 二、填空题9.用ba,表示两个有理数,则它们的差是,它们的倒数差是,它们差的倒数是 _____ ,它们绝对值的和是,它们和的相反数是 . 10.用代数式表示:x 的 3 倍减去 2 . 11.有一棵树,刚栽下时,树高2.1 米,以后每年长0.3 米,则 n 年后的树高为米. 12.当1,2 yx时,代数式yx32= . 13.如图所示,请写出阴影部分的面积 . 14.有一个三位数,它的百位数字是a ,十位数字是 b ,个位数字是 c ,则这个三位数字是_____. 三、解答题15.说出下列代数式的意义. (1)22ba. ( 2)2)(ba. (3)2ba. (4))(cba. 16.列代数式 . (1) a 与 b 两数差的平方的一半. (2)1 与 t 的倒数的差 . (3) a 的平方的 3 倍与 b 的积的相反数 . (4)ba,两数的和的平方与它们的差的平房的和. 17...

1、当您付费下载文档后,您只拥有了使用权限,并不意味着购买了版权,文档只能用于自身使用,不得用于其他商业用途(如 [转卖]进行直接盈利或[编辑后售卖]进行间接盈利)。
2、本站所有内容均由合作方或网友上传,本站不对文档的完整性、权威性及其观点立场正确性做任何保证或承诺!文档内容仅供研究参考,付费前请自行鉴别。
3、如文档内容存在违规,或者侵犯商业秘密、侵犯著作权等,请点击“违规举报”。

碎片内容

华师版七年级数学列代数式和代数式的值测试

爱的疯狂+ 关注
实名认证
内容提供者

该用户很懒,什么也没介绍

确认删除?
VIP
微信客服
  • 扫码咨询
会员Q群
  • 会员专属群点击这里加入QQ群
客服邮箱
回到顶部