电脑桌面
添加小米粒文库到电脑桌面
安装后可以在桌面快捷访问

认识二元一次方程组VIP免费

认识二元一次方程组认识二元一次方程组认识二元一次方程组
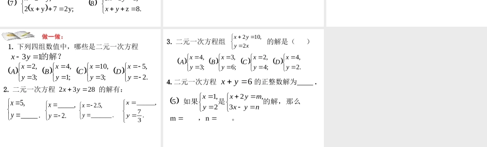
1. 含有 2 个未知数 .2. 所含未知数项的最高次数是 1次 . 含有两个未知数 , 并且所含未知数的项的次数都是 1 的方程叫做二元一次方程 . 概念 1 :注意:1. 请判断下列各方程中,哪些是二元一次 方程,哪些不是?并说明理由 . 练一练:        5y2x38yyx7n2-2m652y-xx351y1-x3474b-a3301223209312yxyx2. 如果方程 是一个二元一次方程,那么 m = , n= 。13x221-mnmy1. 请判断下列各方程中,哪些是二元一次 方程,哪些不是?并说明理由 . 概念 2 : 含有两个未知数的两个一次方程所组成的一组方程 , 叫做二元一次方程组 . ;03,3321yxyx .8,8352yxyx例 :注意:在方程组中的各方程中的同一个字母必须表示同一个对象 .      .325,1326;1283,525;2,14;153,373;53,12;1253,1212babbayxyxyxzyyxyxyxyxyx  .8z,8358;y27yx2,y27yxyxx判断下列方程组是否是二元一次方程组: 做一做: 概念 3 : 适合一个二元一次方程的一组未知数的值,叫做这个二元一次方程的解 . 的一个解也是方程同样,8yx3,5yx如 x = 6, y = 2 是方程 x + y =8 的一个解,记作:2,6yx 概念 4 : 二元一次方程组中各个方程的公共解,叫做二元一次方程组的解 .例如:3,5yx就是二元一次方程组,的解3435,8yxyx 做一做: 做一做:    .2,5;3,10;1,4;3,2yxDyxCyxByxA2832 yx._____,5yx.2_____,yx._______,5.2yx.37_____,yx2. 二元一次方程的解有: 的解?13 yx1. 下列四组数值中,哪些是二元一次方程3. 二元一次方程组xyyx2,102 的解是()    .2,4;4,2;6,3;3,4yxDyxCyxByxA  。,的解,那么是如果nm3,22,15nyxmyxyx 的正整数解为 .4. 二元一次方程6 yx

1、当您付费下载文档后,您只拥有了使用权限,并不意味着购买了版权,文档只能用于自身使用,不得用于其他商业用途(如 [转卖]进行直接盈利或[编辑后售卖]进行间接盈利)。
2、本站所有内容均由合作方或网友上传,本站不对文档的完整性、权威性及其观点立场正确性做任何保证或承诺!文档内容仅供研究参考,付费前请自行鉴别。
3、如文档内容存在违规,或者侵犯商业秘密、侵犯著作权等,请点击“违规举报”。

碎片内容

认识二元一次方程组

您可能关注的文档

精品文库+ 关注
实名认证
内容提供者

中小学课件教案大全

相关文档

确认删除?
VIP
微信客服
  • 扫码咨询
会员Q群
  • 会员专属群点击这里加入QQ群
客服邮箱
回到顶部