电脑桌面
添加小米粒文库到电脑桌面
安装后可以在桌面快捷访问

(0359)《教育统计与测评》(期末考试)复习思考题答案VIP专享VIP免费

(0359)《教育统计与测评》(期末考试)复习思考题答案_第1页
1/15
(0359)《教育统计与测评》(期末考试)复习思考题答案_第2页
2/15
(0359)《教育统计与测评》(期末考试)复习思考题答案_第3页
3/15
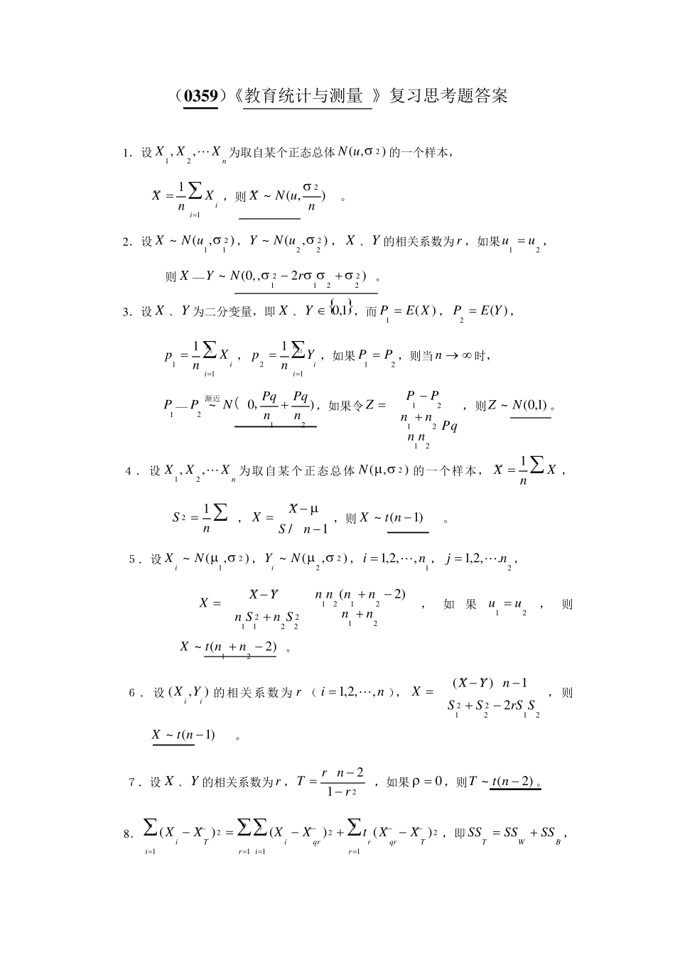
(0 3 5 9 )《教育统计与测量 》复习思考题答案 1.设nXXX,,21为取自某个正态总体),(2uN的一个样本, niiXnX1__1,则),(~2__nuNX 。 2.设),(~211 uNX,),(~222 uNY,X ﹑Y 的相关系数为r ,如果21uu, 则X —)2,,0(~222121 rNY 。 3.设X ﹑Y 为二分变量,即 X ﹑Y 1,0,而)(1XEP ,)(2YEP , 1111niiXnp, 12121 niiYnp,如果21PP ,则当n时, 1P —)0~212nPqnPq,N(P渐近,如果令PqnnnnPPZ212121,则)1,0(~ NZ。 4.设nXXX,,21为取自某个正态总体),(2N的一个样本, XnX1__, nS12,1/__nSXX,则)1(~ntX 。 5.设),(~21 NXi,),(~22 NYi,1,,2,1ni,2.,2,1nj, 212121222211____)2(nnnnnnSnSnYXX,如果21uu,则)2(~21 nntX 。 6.设 ),(ii YX的相关系数为r (ni,,2,1),212221____21)(SrSSSnYXX,则)1(~ntX 。 7.设X ﹑Y 的相关系数为r ,212rnrT ,如果0,则)2(~ntT。 8.qrTqrrqriniqrtiTiXXtXXXXr12____2__1112__)()()(,即BWTSSSSSS, 则 TSS 的自由度为 1 ndfT 。 WSS的自由度为 qndfW。 BSS 的自由度为 1 qdfB 。 9。设)/()1/(qnSSqSSFWB,如果q21,则),1(~qnqFF。 10. 设 dttPxF)()(表示一分布函数,则)(xP应满足: ① 0)(xP; ②  1)(dxxP。 11. 设nXXX,,21服从正态分布)1,0(N,且nXXX,,21相互独立,令,22221nXXXX,则X ~ )(2 n 。 12 如果),(~2111NX,),(~2222NX, 则~21XX  ),(222121 uuN 。 13·如果)1,0(~1NX,)(~22mX,)(~23nX, mXXY/211  ,nXmXY//322 ,则 ~1Y)(mt ,~2Y ),(nmF , 14. ~32XX  )(2nm 。 15.设niNXi,2,1),,(~2,现从中随机取得n 个样本,如果用niiXnX1__1去估计  , niiXXnS12__2)(1去估计2,则在给定置信水平 的情况下,总体平均数的置信区间为 。 2的置信区间为 。 16.一射击运动员在打靶试验中击中各环的概率如下表: X 4 5 6 7 8 9 10 P 0.01 0.1 0.12 0.20 0.35 0.20 0.02 试求该动员击中靶标的总体平均数EX...

1、当您付费下载文档后,您只拥有了使用权限,并不意味着购买了版权,文档只能用于自身使用,不得用于其他商业用途(如 [转卖]进行直接盈利或[编辑后售卖]进行间接盈利)。
2、本站所有内容均由合作方或网友上传,本站不对文档的完整性、权威性及其观点立场正确性做任何保证或承诺!文档内容仅供研究参考,付费前请自行鉴别。
3、如文档内容存在违规,或者侵犯商业秘密、侵犯著作权等,请点击“违规举报”。

碎片内容

(0359)《教育统计与测评》(期末考试)复习思考题答案

确认删除?
VIP
微信客服
  • 扫码咨询
会员Q群
  • 会员专属群点击这里加入QQ群
客服邮箱
回到顶部