电脑桌面
添加小米粒文库到电脑桌面
安装后可以在桌面快捷访问

第六册2006年电力建设工程预算定额电子版(调试工程)VIP免费

第六册2006年电力建设工程预算定额电子版(调试工程)_第1页
1/73
第六册2006年电力建设工程预算定额电子版(调试工程)_第2页
2/73
第六册2006年电力建设工程预算定额电子版(调试工程)_第3页
3/73
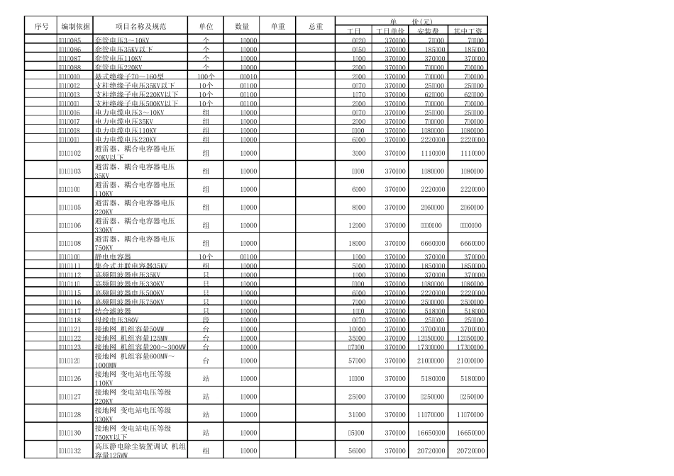
工日工日单价安装费其中工资YS1-001同步发电机、调相机容量50MW台1.00024.00370.008880.008880.00YS1-002同步发电机、调相机容量125MW台1.00031.00370.0011470.0011470.00YS1-003同步发电机、调相机容量200MW台1.00041.00370.0015170.0015170.00YS1-007直流电动机容量100KW以下台1.0002.00370.00740.00740.00YS1-006同步发电机、调相机容量1000MW台1.00078.00370.0028860.0028860.00YS1-008直流励磁机容量100KW以下台1.0007.00370.002590.002590.00YS1-009直流励磁机容量400KW以下台1.00010.00370.003700.003700.00YS1-010直流励磁机容量800KW以下台1.00012.00370.004440.004440.00YS1-012交流励磁机台1.00012.00370.004440.004440.00YS1-013高压交流电动机容量500KW以下台1.0003.00370.001110.001110.00YS1-015高压交流电动机容量4000KW以下台1.0006.00370.002220.002220.00YS1-016高压交流电动机容量10000KW以下台1.0007.00370.002590.002590.00YS1-018低压交流电动机容量50KW以下台1.0000.70370.00259.00259.00YS1-019低压交流电动机容量100KW以下台1.0001.40370.00518.00518.00YS1-020低压交流电动机容量500KW以下台1.0002.70370.00999.00999.00YS1-021三相电力变压器 容量800KVA以下台1.0008.00370.002960.002960.00YS1-022三相电力变压器 容量3200KVA以下台1.00014.00370.005180.005180.00YS1-025三相电力变压器 容量40000KVA以下台1.00033.00370.0012210.0012210.00YS1-026三相电力变压器 容量63000KVA以下台1.00042.00370.0015540.0015540.00YS1-027三相电力变压器 容量150000KVA以下台1.00048.00370.0017760.0017760.00YS1-028三相电力变压器 容量240000KVA以下台1.00055.00370.0020350.0020350.00YS1-030三相电力变压器 容量690000KVA以下台1.00069.00370.0025530.0025530.00YS1-031三相电力变压器 容量750000KVA以下台1.00075.00370.0027750.0027750.00YS1-032三相电力变压器 容量1000000KVA以下台1.000100.00370.0037000.0037000.00YS1-034单相电力变压器 容量10500KVA以下组1.00047.00370.0017390.0017390.00YS1-036单相电力变压器 容量60000KVA以下组1.00056.00370.0020720.0020720.00总重单 价(元)序号编制依据项目名称及规范单位数量单重工日工日单价安装费其中工资总重单 价(元)序号编制依据 项目名称及规范单位数量单重YS1-037单相电力变压器 容量120000KVA以下组1.00068.00370.0025160.0025160.00YS1-03...

1、当您付费下载文档后,您只拥有了使用权限,并不意味着购买了版权,文档只能用于自身使用,不得用于其他商业用途(如 [转卖]进行直接盈利或[编辑后售卖]进行间接盈利)。
2、本站所有内容均由合作方或网友上传,本站不对文档的完整性、权威性及其观点立场正确性做任何保证或承诺!文档内容仅供研究参考,付费前请自行鉴别。
3、如文档内容存在违规,或者侵犯商业秘密、侵犯著作权等,请点击“违规举报”。

碎片内容

第六册2006年电力建设工程预算定额电子版(调试工程)

您可能关注的文档

小辰5+ 关注
实名认证
内容提供者

出售各种资料和文档

确认删除?
VIP
微信客服
  • 扫码咨询
会员Q群
  • 会员专属群点击这里加入QQ群
客服邮箱
回到顶部