电脑桌面
添加小米粒文库到电脑桌面
安装后可以在桌面快捷访问

小学数学精编分数乘法练习题VIP专享VIP免费

小学数学精编分数乘法练习题_第1页
1/4
小学数学精编分数乘法练习题_第2页
2/4
小学数学精编分数乘法练习题_第3页
3/4
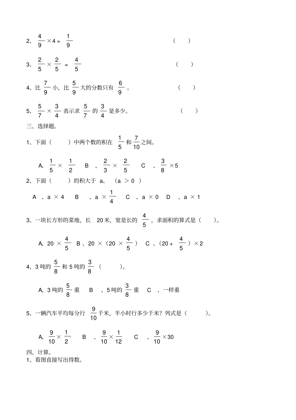
(人教新课标)六年级数学上册分数乘法班级______姓名______ 一、填空题。1、 125× 3 = ()+ ()+()= ()2、一桶油重 100 千克, 2 桶油重()千克,算式是();21桶油重()千克,算式是();52桶油重()千克,算式是()。3、21× 21=()32×4=()32×3=()4、 41小时 = ()分51米 = ()厘米5、在○里填上“<”、“>”或“=”7 × 103○ 7 74× 16 ○7421× 125○ 12585× 1 ○ 1 6、平角的 21是()度,是()角。7、一段公路每天修全长的121 ,4 天修全长的()。二、判断题。1、 51× 12 和 12 ×51的意义相同。()2、 94×4 = 91()3、 52× 52 = 54()4、比 97小,比 95大的分数只有 96。()5、 75× 43表示求 75的 43是多少。()三、选择题。1、下面()中两个数的积在51和 107 之间。A、 51×21 B、 32×52 C、 83×5 2、下面()的积大于 a。 (a > 0 ) A、a × 4 B、a × 41 C、a × 0 D、a × 1 3、一块长方形的菜地,长20 米,宽是长的54,求面积的算式是()。A、20 × 54 B 、20 ×(20 × 54) C 、(20 + 54)×2 4、3 吨的 85和 5 吨的 83()。A、3 吨的 85重 B、5 吨的 83重 C、一样重5、一辆汽车平均每分行109 千米,半小时行多少千米?列式是()。A、 109 × 21 B、 109 × 121 C、 109 ×30 四、计算。1、看图直接写出得数。2、计算下面各题。五、列式计算。1、2、 87千米的 32是多少?3、15 的 31减去 53是多少?4、42 与 42 的 76的差是多少?5、36 的 41的 52是多少?六、解决问题。1、要求完成各题。(1)画图表示出32× 51=()(2) 65× 31= ()2、3、校园里有杨树20 棵,柳树是杨树的 109 ,槐树是柳树的32,槐树有多少棵?4、六年级三个班学生帮助图书室修补图书。一班修补了54 本,二班修补的是一班的65。二班修补了多少本?三班修补的比二班少51,三班修补了多少本?

1、当您付费下载文档后,您只拥有了使用权限,并不意味着购买了版权,文档只能用于自身使用,不得用于其他商业用途(如 [转卖]进行直接盈利或[编辑后售卖]进行间接盈利)。
2、本站所有内容均由合作方或网友上传,本站不对文档的完整性、权威性及其观点立场正确性做任何保证或承诺!文档内容仅供研究参考,付费前请自行鉴别。
3、如文档内容存在违规,或者侵犯商业秘密、侵犯著作权等,请点击“违规举报”。

碎片内容

小学数学精编分数乘法练习题

确认删除?
VIP
微信客服
  • 扫码咨询
会员Q群
  • 会员专属群点击这里加入QQ群
客服邮箱
回到顶部