电脑桌面
添加小米粒文库到电脑桌面
安装后可以在桌面快捷访问

1至99乘法表VIP专享VIP免费

1至99乘法表_第1页
1/45
1至99乘法表_第2页
2/45
1至99乘法表_第3页
3/45
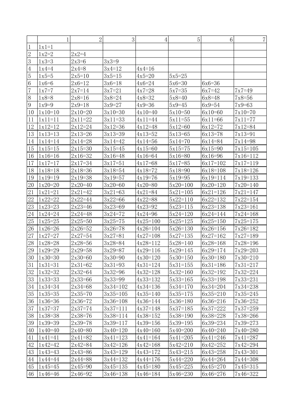
123456711x1=121x2=22x2=431x3=32x3=63x3=941x4=42x4=83x4=124x4=1651x5=52x5=103x5=154x5=205x5=2561x6=62x6=123x6=184x6=245x6=306x6=3671x7=72x7=143x7=214x7=285x7=356x7=427x7=4981x8=82x8=163x8=244x8=325x8=406x8=487x8=5691x9=92x9=183x9=274x9=365x9=456x9=547x9=6310 1x10=102x10=203x10=304x10=405x10=506x10=607x10=7011 1x11=112x11=223x11=334x11=445x11=556x11=667x11=7712 1x12=122x12=243x12=364x12=485x12=606x12=727x12=8413 1x13=132x13=263x13=394x13=525x13=656x13=787x13=9114 1x14=142x14=283x14=424x14=565x14=706x14=847x14=9815 1x15=152x15=303x15=454x15=605x15=756x15=907x15=10516 1x16=162x16=323x16=484x16=645x16=806x16=967x16=11217 1x17=172x17=343x17=514x17=685x17=856x17=1027x17=11918 1x18=182x18=363x18=544x18=725x18=906x18=1087x18=12619 1x19=192x19=383x19=574x19=765x19=956x19=1147x19=13320 1x20=202x20=403x20=604x20=805x20=1006x20=1207x20=14021 1x21=212x21=423x21=634x21=845x21=1056x21=1267x21=14722 1x22=222x22=443x22=664x22=885x22=1106x22=1327x22=15423 1x23=232x23=463x23=694x23=925x23=1156x23=1387x23=16124 1x24=242x24=483x24=724x24=965x24=1206x24=1447x24=16825 1x25=252x25=503x25=754x25=1005x25=1256x25=1507x25=17526 1x26=262x26=523x26=784x26=1045x26=1306x26=1567x26=18227 1x27=272x27=543x27=814x27=1085x27=1356x27=1627x27=18928 1x28=282x28=563x28=844x28=1125x28=1406x28=1687x28=19629 1x29=292x29=583x29=874x29=1165x29=1456x29=1747x29=20330 1x30=302x30=603x30=904x30=1205x30=1506x30=1807x30=21031 1x31=312x31=623x31=934x31=1245x31=1556x31=1867x31=21732 1x32=322x32=643x32=964x32=1285x32=1606x32=1927x32=22433 1x33=332x33=663x33=994x33=1325x33=1656x33=1987x33=23134 1x34=342x34=683x34=1024x34=1365x34=1706x34=2047x34=23835 1x35=352x35=703x35=1054x35=1405x35=1756x35=2107x35=24536 1x36=362x36=723x36=1084x36=1445x36=1806x36=2167x36=25237 1x37=372x37=743x37=1114x37=1485x37=1856x37=2227x37=25938 1x38=382x38=763x38=1144x38=1525x38=1906x38=2287x38=26639 1x39=392x39=783x39=1174x39=1565x39=1956x39=2347x39=27340 1x40=402x40=803x40=1204x40=1605x40=2006x40=2407x40=28041 1...

1、当您付费下载文档后,您只拥有了使用权限,并不意味着购买了版权,文档只能用于自身使用,不得用于其他商业用途(如 [转卖]进行直接盈利或[编辑后售卖]进行间接盈利)。
2、本站所有内容均由合作方或网友上传,本站不对文档的完整性、权威性及其观点立场正确性做任何保证或承诺!文档内容仅供研究参考,付费前请自行鉴别。
3、如文档内容存在违规,或者侵犯商业秘密、侵犯著作权等,请点击“违规举报”。

碎片内容

小辰6+ 关注
实名认证
内容提供者

出售各种资料和文档

相关文档

相关标签

确认删除?
VIP
微信客服
  • 扫码咨询
会员Q群
  • 会员专属群点击这里加入QQ群
客服邮箱
回到顶部