1 质点动力学的基本方程 知识总结 1.牛顿三定律适用于惯性参考系。 质点具有惯性,以其质量度量; 作用于质点的力与其加速度成比例;...
2013.1.27 兰州 师兄的建议:考试不仅仅是知识的积累,更重要的是会学,重点考试 内容必须掌握,所以我们要好好复习 静力学 静力学是...
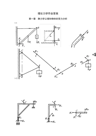
理论力学作业答案 第一章 静力学公理和物体的受力分析 1 -1 1 -2 第二章 平面汇交力系与平面力偶系 第三章 平面任意力系 第四章...
9-1 在图示系统中,均质杆OA 、 AB 与均质轮的质量均为m ,OA 杆的长度为1l ,AB 杆的长度为2l ,轮的半径为 R ,轮沿水平面作...
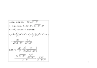
1 2 3 4 5 6 7 8 9 1 0 1 1 1 2 1 3 1 4 1 5 1 6 1 7 1 8 1 9 2 0 2 1 2 2 2 3 2 4 2 5 2 6 2...
例1: 在图示机构中,已知:匀质轮C作纯滚动,半径为r ,质量为m3 ,鼓轮B的内径为 r ,外径为R,对其中心轴的回转半径为ρ ,质量...
班级 姓名 学号 - 1 - 第一章 静力学公理与受力分析(1) 一.是非题 1 、加减平衡力系公理不但适用于刚体,还适用于变形体。 (...
理论力学3分析力学基础课后答案
理论力学 期末考试试题 1-1、自重为 P=100kN 的 T 字形钢架 ABD,置于铅垂面内,载荷如图所示。其中转矩M=20kN.m,拉力F=400kN,分布...
湖南工业大学土木工程 《理论力学》课程授课教案 一、课程基本信息 课程编号: 课程中文名称:理论力学 课程英文名称:Theoretical M...
第6 章 运动学基础 ·6 1 · ·6 1 · 第6 章 运动学基础 一、是非题(正确的在括号内打“√”、错误的打“×”) 1 . 动 ...
- 1 - 习 题 12– 1 一 刚 度 系 数 为 k的 弹 簧 , 放 在 倾 角 为 的 斜 面 上 。弹 簧 的上 端固定...
- 1 - 习 题 10-1 计 算 图 10-7所 示 各 种 情 况 下 系 统 的 动 量 。 (1) 如图10-7a所 示 ,质量 为 m的 ...
1 第二章 习 题 2-1 试计算图2-55中力F对点O之矩。 图2-55 (a) 0)(FOM (b) FlMO)(F (c) FbMO)(F (d) sin)(FlMOF...
第一章 力系的简化 1 -1 静力学基本概念与静力学公理 一、静力学基本概念 1.力的概念 (1)定义:力是物体间的相互机械作用,这种作...
理论力学(周衍柏第二版)第1章习题解答
理论力学(周衍柏第二版)第2章习题解答
第五章习题解答 5.1 解 如题5.1.1 图 杆受理想约束,在满足题意的约束条件下杆的位置可由杆与水平方向夹角所唯一确定。杆的自由度为1...
理论力学(刘又文彭献)答案第8章
理论力学(3030)作业

