电脑桌面
添加小米粒文库到电脑桌面
安装后可以在桌面快捷访问

2008年考研数学三真题及解析VIP免费

2008年考研数学三真题及解析_第1页
1/14
2008年考研数学三真题及解析_第2页
2/14
2008年考研数学三真题及解析_第3页
3/14
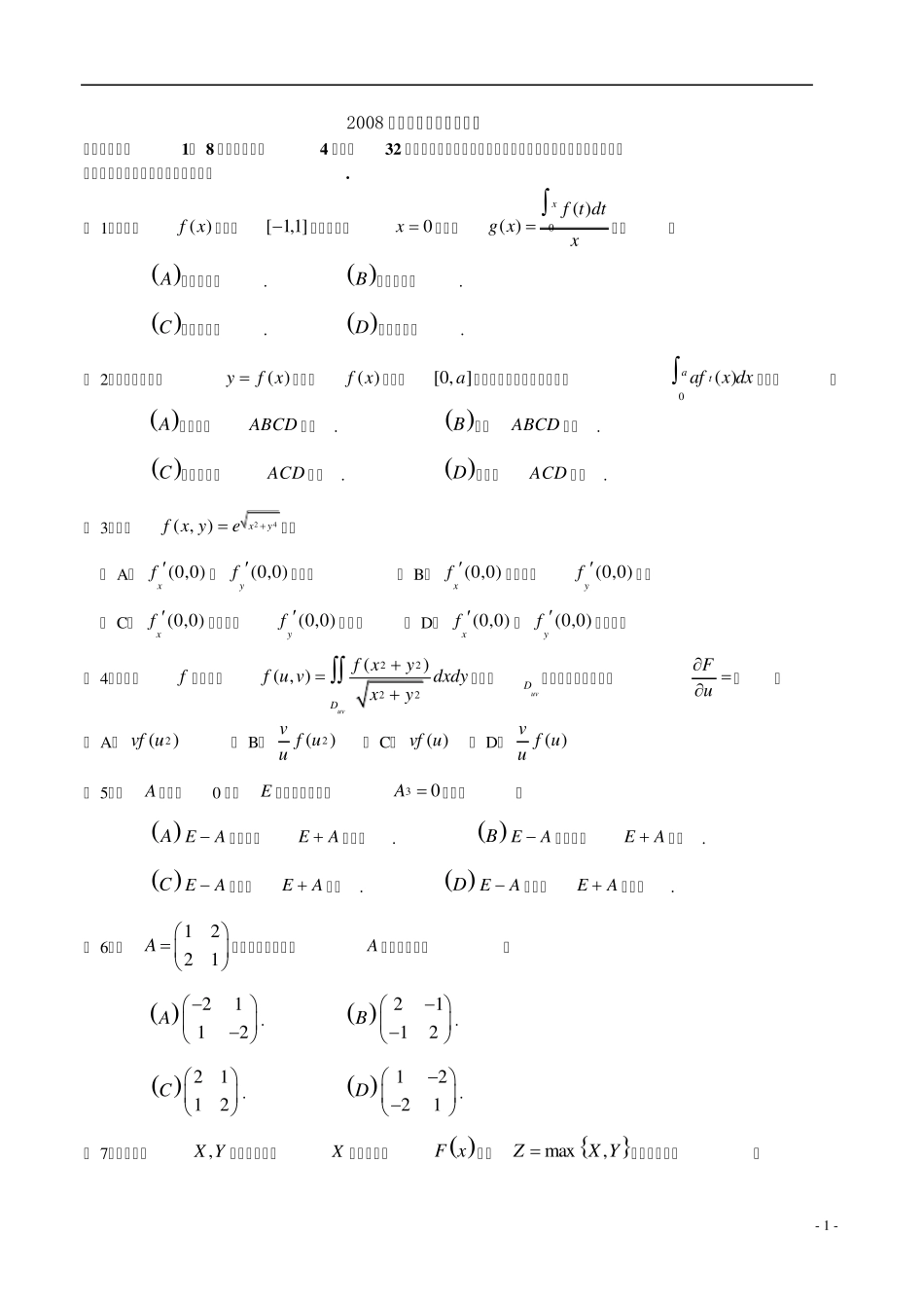
- 1 - 2008 年考研数学(三)真题 一、选择题:1 ~ 8 小题,每小题4 分,共3 2 分,下列每小题给出的四个选项中,只有一项符合题目要求,把所选项前的字母填在题后的括号内. ( 1)设函数( )f x 在区间[ 1,1]上连续,则0x 是函数0( )( )x f t dtg xx 的( )  A 跳跃间断点.  B 可去间断点.  C 无穷间断点.  D 振荡间断点. ( 2)曲线段方程为( )yf x,函数( )f x 在区间[0, ]a 上有连续的导数,则定积分0( )atafx dx等于( )  A 曲边梯形ABCD 面积.  B 梯形ABCD 面积.  C 曲边三角形ACD 面积.  D 三角形ACD 面积. ( 3)已知24( , )xyf x ye,则 ( A)(0,0)xf ,(0,0)yf 都存在 ( B)(0,0)xf 不存在,(0,0)yf 存在 ( C)(0,0)xf 不存在,(0,0)yf 不存在 ( D)(0,0)xf ,(0,0)yf 都不存在 ( 4)设函数f 连续,若2222()( , )uvDf xyf u vdxdyxy,其中uvD 为图中阴影部分,则Fu( ) ( A)2()vf u ( B)2()v f uu ( C)( )vf u ( D)( )v f uu ( 5)设A 为阶非0 矩阵E 为阶单位矩阵若30A ,则( )  A EA不可逆,EA不可逆.  B EA不可逆,EA可逆.  C EA可逆,EA可逆.  D EA可逆,EA不可逆. ( 6)设1221A 则在实数域上域与A 合同矩阵为( )  A2112.  B2112.  C2112.  D1221. ( 7)随机变量,X Y 独立同分布且X 分布函数为 F x ,则max,ZX Y分布函数为( ) - 2 -  A  2Fx .  B    F x F y .  C   211F x .  D   11F xF y   . ( 8)随机变量~0,1X N,~1,4Y N且相关系数1XY ,则( )  A 211P YX  .  B211P YX.  C211P YX  .  D211P YX. 二、填空题:9 -1 4 小题,每小题4 分,共2 4 分,请将答案写在答题纸指定位置上. ( 9)设函数21,( )2 ,xxcf xxcx 在 (,)  内连续,则c ...

1、当您付费下载文档后,您只拥有了使用权限,并不意味着购买了版权,文档只能用于自身使用,不得用于其他商业用途(如 [转卖]进行直接盈利或[编辑后售卖]进行间接盈利)。
2、本站所有内容均由合作方或网友上传,本站不对文档的完整性、权威性及其观点立场正确性做任何保证或承诺!文档内容仅供研究参考,付费前请自行鉴别。
3、如文档内容存在违规,或者侵犯商业秘密、侵犯著作权等,请点击“违规举报”。

碎片内容

2008年考研数学三真题及解析

小辰3+ 关注
实名认证
内容提供者

出售各种资料和文档

相关文档

确认删除?
VIP
微信客服
  • 扫码咨询
会员Q群
  • 会员专属群点击这里加入QQ群
客服邮箱
回到顶部